题目内容
为了“探究加速度与力、质量的关系”,现提供如图1所示实验装置.请思考探究思路并回答下列问题:(1)为了消除小车与水平木板之间摩擦力的影响应采取做法是______
A.将不带滑轮的木板一端垫高适当,使小车在钩码拉动下恰好做匀速运动
B.将不带滑轮的木板一端适当垫高,使小车在钩码拉动下恰好做匀加速运动
C.将不带滑轮的木板一端适当垫高,在不挂钩码的情况下使小车恰好做匀速运动
D.将不带滑轮的木板一端适当垫高,在不挂钩码的情况下使小车恰好做匀加速运动
(2)在“探究加速度与力、质量关系”的实验中,得到一条打点的纸带,如图2所示,已知相邻计数点间的时间间隔为T,且间距x1、x2、x3、x4、x5、x6已量出,则小车加速度的表达式为a=______;
(3)消除小车与水平木板之间摩擦力的影响后,可用钩码总重力代替小车所受的拉力,此时钩码质量m与小车总质量M之间应满足的关系为______;
(4)在“探究加速度与质量的关系”时,保持砝码质量不变,改变小车质量m,得到的实验数据如下表:
| 实验次数 | 1 | 2 | 3 | 4 | 5 |
| 小车加速度a/ms-2 | 0.77 | 0.38 | 0.25 | 0.19 | 0.16 |
| 小车质量m/kg | 0.20 | 0.40 | 0.60 | 0.80 | 1.00 |
【答案】分析:(1)解决实验问题首先要掌握该实验原理,了解实验的操作步骤和数据处理以及注意事项,了解平衡摩擦力的方法;
(2)利用逐差法可以求出加速度的大小;
(3)根据牛顿第二定律,求出小车实际的拉力大小,然后和mg进行比较,可以得出结论;
(4)根据所提供数据,采用描点法,可以正确的画出图象.
解答:解:(1)将不带滑轮的木板一端适当垫高,在不挂钩码的情况下使小车恰好做匀速运动,以使小车的重力沿斜面分力和摩擦力抵消,那么小车的合力大小等于绳子的拉力,故ABD错误,C正确.
故选C.
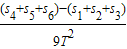
(2)为了减小偶然误差,采用逐差法处理数据,有:
S6-S3=3a1T2 ①
S5-S2=3a2T2 ②
S4-S1=3a3T2 ③
a=
④
联立①②③④得:
a=
(3)该实验的研究对象是小车,采用控制变量法研究.当质量一定时,研究小车的加速度和小车所受合力的关系.那么小车的合力怎么改变和测量呢?为消除摩擦力对实验的影响,可以把木板D的左端适当垫高,以使小车的重力沿斜面分力和摩擦力抵消,那么小车的合力就是绳子的拉力.
根据牛顿第二定律得:
对m:mg-F拉=ma
对M:F拉=Ma
解得:F拉=
当M>>m时,即当砝码和盘的总重力要远小于小车的重力,绳子的拉力近似等于砝码和盘的总重力.
(4)据所提供数据,采用描点法得出图象如下所示:
故答案为:(1)C;
(2)
;
(3)m<<M;
(4)如图所示.
点评:对于实验问题首先要 明确实验原理,理解重要步骤的操作,熟练应用基本物理解决实验问题.
(2)利用逐差法可以求出加速度的大小;
(3)根据牛顿第二定律,求出小车实际的拉力大小,然后和mg进行比较,可以得出结论;
(4)根据所提供数据,采用描点法,可以正确的画出图象.
解答:解:(1)将不带滑轮的木板一端适当垫高,在不挂钩码的情况下使小车恰好做匀速运动,以使小车的重力沿斜面分力和摩擦力抵消,那么小车的合力大小等于绳子的拉力,故ABD错误,C正确.
故选C.
(2)为了减小偶然误差,采用逐差法处理数据,有:
S6-S3=3a1T2 ①
S5-S2=3a2T2 ②
S4-S1=3a3T2 ③
a=
联立①②③④得:
a=
(3)该实验的研究对象是小车,采用控制变量法研究.当质量一定时,研究小车的加速度和小车所受合力的关系.那么小车的合力怎么改变和测量呢?为消除摩擦力对实验的影响,可以把木板D的左端适当垫高,以使小车的重力沿斜面分力和摩擦力抵消,那么小车的合力就是绳子的拉力.
根据牛顿第二定律得:
对m:mg-F拉=ma
对M:F拉=Ma
解得:F拉=
当M>>m时,即当砝码和盘的总重力要远小于小车的重力,绳子的拉力近似等于砝码和盘的总重力.
(4)据所提供数据,采用描点法得出图象如下所示:
故答案为:(1)C;
(2)
(3)m<<M;
(4)如图所示.
点评:对于实验问题首先要 明确实验原理,理解重要步骤的操作,熟练应用基本物理解决实验问题.
练习册系列答案
相关题目