题目内容
已知地球的同步卫星的轨道半径为地球半径的6.6倍,根据你知道的常识,可以估计出地球到月球的距离.这个距离最接近以下哪个答案( )A.地球半径的40倍
B.地球半径的60倍
C.地球半径的80倍
D.地球半径的100倍
【答案】分析:地球同步卫星绕地球运动的周期为1天,月球绕地球运动的周期为27天,根据万有引力提供向心力周期公式即可求解.
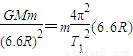
解答:解:根据卫星的向心力由万有引力提供
可知:
对同步卫星有:
…①
对月球有:
…②
而
…③
由①②③得:n≈60
所以选项ACD错误,B正确.
故选B
点评:本题主要考查了万有引力提供向心力的周期公式的直接应用,难度不大,属于基础题.
解答:解:根据卫星的向心力由万有引力提供
对同步卫星有:
对月球有:
而
由①②③得:n≈60
所以选项ACD错误,B正确.
故选B
点评:本题主要考查了万有引力提供向心力的周期公式的直接应用,难度不大,属于基础题.
练习册系列答案
相关题目