题目内容
如图是研究小车匀变速运动实验中打出的一条纸带,已知打点计时器的打点周期是0.02s,小车运动加速度的大小为______m/s2,(计算结果保留两位有效数字)
【答案】分析:如图是研究小车匀变速运动实验中打出的一条纸带,已知打点计时器的打点周期是0.02s,小车运动加速度的大小
解答:解:纸带上每相邻两个计数点间还有一个点,所以相邻的计数点之间的时间间隔是0.04s.
根据逐差法求解加速度:
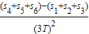
a=
解得a=4.0m/s2
故答案为:4.0
点评:利用匀变速直线的规律以及推论解答实验问题的能力,在平时练习中要加强基础知识的理解与应用,提高解决问题能力.
解答:解:纸带上每相邻两个计数点间还有一个点,所以相邻的计数点之间的时间间隔是0.04s.
根据逐差法求解加速度:
a=
解得a=4.0m/s2
故答案为:4.0
点评:利用匀变速直线的规律以及推论解答实验问题的能力,在平时练习中要加强基础知识的理解与应用,提高解决问题能力.
练习册系列答案
相关题目