ÌâÄ¿ÄÚÈÝ
ÈçͼËùʾ£¬Ò»Ë®Æ½Ô²ÅÌÈÆ¹ýÔ²ÐĵÄÊúÖ±Öáת¶¯£¬Ô²Å̱ßÔµÓÐÒ»ÖÊÁ¿m=1.0kgµÄС»¬¿é£®µ±Ô²ÅÌת¶¯µÄ½ÇËٶȴﵽijһÊýֵʱ£¬»¬¿é´ÓÔ²Å̱ßÔµ»¬Â䣬¾¹â»¬µÄ¹ý¶ÉÔ²¹Ü½øÈë¹ìµÀABC£®ÒÑÖªAB¶ÎÐ±ÃæÇã½ÇΪ53°£¬BC¶ÎÐ±ÃæÇã½ÇΪ37°£¬»¬¿éÓëÔ²Å̼°Ð±Ãæ¼äµÄ¶¯Ä¦²ÁÒòÊý¾ùΪ¦Ì=0.5£¬AµãÀëBµãËùÔÚË®Æ½ÃæµÄ¸ß¶Èh=1.2m£®»¬¿éÔÚÔ˶¯¹ý³ÌÖÐʼÖÕδÍÑÀë¹ìµÀ£¬²»¼ÆÔÚ¹ý¶ÉÔ²¹Ü´¦ºÍBµãµÄ»úеÄÜËðʧ£¬×î´ó¾²Ä¦²ÁÁ¦½üËÆµÈÓÚ»¬¶¯Ä¦²ÁÁ¦£¬È¡g=10m/s2£¬sin37°=0.6£¬cos37°=0.8£¨1£©ÈôÔ²Å̰뾶R=0.2m£¬µ±Ô²Å̵ĽÇËٶȶà´óʱ£¬»¬¿é´ÓÔ²ÅÌÉÏ»¬Â䣿
£¨2£©ÈôȡԲÅÌËùÔÚÆ½ÃæÎªÁãÊÆÄÜÃæ£¬Ç󻬿鵽´ïBµãʱµÄ»úеÄÜ£®
£¨3£©´Ó»¬¿éµ½´ïBµãʱÆð£¬¾0.6sÕýºÃͨ¹ýCµã£¬ÇóBCÖ®¼äµÄ¾àÀ룮
¡¾´ð°¸¡¿·ÖÎö£º£¨1£©»¬¿é×öÔÈËÙÔ²ÖÜÔ˶¯£¬Ö¸ÏòÔ²Ðĵľ²Ä¦²ÁÁ¦Á¦ÌṩÏòÐÄÁ¦£¬¾²Ä¦²ÁÁ¦Ëæ×ÅÍâÁ¦µÄÔö´ó¶øÔö´ó£¬µ±»¬¿é¼´½«´ÓÔ²ÅÌÉÏ»¬Âäʱ£¬¾²Ä¦²ÁÁ¦´ïµ½×î´óÖµ£¬¸ù¾Ý×î´ó¾²Ä¦²ÁÁ¦µÈÓÚÏòÐÄÁ¦ÁÐʽÇó½â£¬¿ÉÒÔÇó³ö»¬¿é¼´½«»¬ÂäµÄÁÙ½ç¼ÓËÙ¶È£»
£¨2£©Ïȸù¾Ý¶¯Äܶ¨ÀíÇó½â³ö»¬µ¹×îµÍµãʱµÄ¶¯ÄÜ£¬ÔÙ¸ù¾Ý»úеÄܵıí´ïʽÇó½â³ö»úеÄÜ£»
£¨3£©¶Ô»¬¿éÊÜÁ¦·ÖÎö£¬·Ö±ðÇó³öÏòÉÏ»¬ÐкÍÏòÏ»¬ÐеļÓËÙ¶È£¬È»ºó¸ù¾ÝÔ˶¯Ñ§¹«Ê½Çó½â³öBC¼äµÄ¾àÀ룮
½â´ð£º½â£º£¨1£©»¬¿éÔÚÔ²ÅÌÉÏ×öÔ²ÖÜÔ˶¯Ê±£¬¾²Ä¦²ÁÁ¦³äµ±ÏòÐÄÁ¦£¬¸ù¾ÝÅ£¶ÙµÚ¶þ¶¨ÂÉ£¬¿ÉµÃ£º¦Ìmg=m?2R
´úÈëÊý¾Ý½âµÃ£º
¼´µ±Ô²Å̵ĽÇËÙ¶È5rad/sʱ£¬»¬¿é´ÓÔ²ÅÌÉÏ»¬Â䣮
£¨2£©»¬¿éÔÚAµãʱµÄËÙ¶È£ºvA=?R=1m/s
´ÓAµ½BµÄÔ˶¯¹ý³ÌÓɶ¯Äܶ¨Àí£º
ÔÚBµãʱµÄ»úеÄÜ
¼´»¬¿éµ½´ïBµãʱµÄ»úеÄÜΪ-4J£®
£¨3£©»¬¿éÔÚBµãʱµÄËÙ¶È£ºvB=4m/s
»¬¿éÑØBC¶ÎÏòÉÏÔ˶¯Ê±µÄ¼ÓËÙ¶È´óС£ºa1=g£¨sin37°+¦Ìcos37°£©=10m/s2
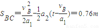
·µ»ØÊ±µÄ¼ÓËÙ¶È´óС£ºa2=g£¨sin37°-¦Ìcos37°£©=2m/s2
BC¼äµÄ¾àÀ룺
¼´BCÖ®¼äµÄ¾àÀëΪ0.76m£®
µãÆÀ£º±¾Ìâ¹Ø¼ü°ÑÎïÌåµÄ¸÷¸öÔ˶¯¹ý³ÌµÄÊÜÁ¦Çé¿öºÍÔ˶¯Çé¿ö·ÖÎöÇå³þ£¬È»ºó½áºÏ¶¯Äܶ¨Àí¡¢Å£¶ÙµÚ¶þ¶¨ÂɺÍÔ˶¯Ñ§¹«Ê½Çó½â£®
£¨2£©Ïȸù¾Ý¶¯Äܶ¨ÀíÇó½â³ö»¬µ¹×îµÍµãʱµÄ¶¯ÄÜ£¬ÔÙ¸ù¾Ý»úеÄܵıí´ïʽÇó½â³ö»úеÄÜ£»
£¨3£©¶Ô»¬¿éÊÜÁ¦·ÖÎö£¬·Ö±ðÇó³öÏòÉÏ»¬ÐкÍÏòÏ»¬ÐеļÓËÙ¶È£¬È»ºó¸ù¾ÝÔ˶¯Ñ§¹«Ê½Çó½â³öBC¼äµÄ¾àÀ룮
½â´ð£º½â£º£¨1£©»¬¿éÔÚÔ²ÅÌÉÏ×öÔ²ÖÜÔ˶¯Ê±£¬¾²Ä¦²ÁÁ¦³äµ±ÏòÐÄÁ¦£¬¸ù¾ÝÅ£¶ÙµÚ¶þ¶¨ÂÉ£¬¿ÉµÃ£º¦Ìmg=m?2R
´úÈëÊý¾Ý½âµÃ£º
¼´µ±Ô²Å̵ĽÇËÙ¶È5rad/sʱ£¬»¬¿é´ÓÔ²ÅÌÉÏ»¬Â䣮
£¨2£©»¬¿éÔÚAµãʱµÄËÙ¶È£ºvA=?R=1m/s
´ÓAµ½BµÄÔ˶¯¹ý³ÌÓɶ¯Äܶ¨Àí£º
ÔÚBµãʱµÄ»úеÄÜ
¼´»¬¿éµ½´ïBµãʱµÄ»úеÄÜΪ-4J£®
£¨3£©»¬¿éÔÚBµãʱµÄËÙ¶È£ºvB=4m/s
»¬¿éÑØBC¶ÎÏòÉÏÔ˶¯Ê±µÄ¼ÓËÙ¶È´óС£ºa1=g£¨sin37°+¦Ìcos37°£©=10m/s2
·µ»ØÊ±µÄ¼ÓËÙ¶È´óС£ºa2=g£¨sin37°-¦Ìcos37°£©=2m/s2
BC¼äµÄ¾àÀ룺
¼´BCÖ®¼äµÄ¾àÀëΪ0.76m£®
µãÆÀ£º±¾Ìâ¹Ø¼ü°ÑÎïÌåµÄ¸÷¸öÔ˶¯¹ý³ÌµÄÊÜÁ¦Çé¿öºÍÔ˶¯Çé¿ö·ÖÎöÇå³þ£¬È»ºó½áºÏ¶¯Äܶ¨Àí¡¢Å£¶ÙµÚ¶þ¶¨ÂɺÍÔ˶¯Ñ§¹«Ê½Çó½â£®
Á·Ï°²áϵÁдð°¸
Ïà¹ØÌâÄ¿