题目内容
天文工作者观测到某行星的半径为R1,自转周期为T1,它有一颗卫星,轨道半径为R2,绕行星公转周期为T2.若万有引力常量为G,求:(1)该行星的平均密度;
(2)该行星的地表重力加速度;
(3)该行星同步卫星的运行轨道半径.
【答案】分析:(1)根据万有引力提供卫星圆周运动的向心力可以列式求出行星的质量M,进一步求密度;
(2)根据重力等于万有引力,列式求得行星的地表重力加速度;
(3)根据万有引力提供向心力列式,求出行星同步卫星的轨道半径.
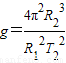
解答:解:(1)据万有引力提供卫星圆周运动的向心力,有
①
得到
又
,
∴行星的密度
(2)在行星的地表,有
,②
有
(3)对于同步卫星,有
,③
由①③解得
答:
(1)该行星的平均密度为
;
(2)该行星的地表重力加速度为
;
(3)该行星同步卫星的运行轨道半径为
.
点评:解决问题的关键根据万有引力提供圆周运动的向心力,及万有引力等于重力,理清解题思路,难度不大.
(2)根据重力等于万有引力,列式求得行星的地表重力加速度;
(3)根据万有引力提供向心力列式,求出行星同步卫星的轨道半径.
解答:解:(1)据万有引力提供卫星圆周运动的向心力,有
得到
又
∴行星的密度
(2)在行星的地表,有
有
(3)对于同步卫星,有
由①③解得
答:
(1)该行星的平均密度为
(2)该行星的地表重力加速度为
(3)该行星同步卫星的运行轨道半径为
点评:解决问题的关键根据万有引力提供圆周运动的向心力,及万有引力等于重力,理清解题思路,难度不大.
练习册系列答案
相关题目