题目内容

小球在外力作用下,由静止开始从A点出发做匀加速直线运动,到B点时撤去外力。然后,小球冲上竖直平面内半径为R的光滑半圆环,恰能维持在圆环上做圆周运动,到达最高点C后抛出,最后落回到原来的出发点A处,如图所示,试求小球在AB段运动的加速度为多大?

 

 

【答案】

1.25g

【解析】

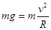
试题分析:根据题意,在C点时,满足

从B到C过程,由机械能守恒定律得

由①、②式得

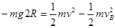
从C回到A过程,满足 ③   水平位移s=vt,  

由③、④式可得 s=2R

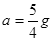
从A到B过程,满足⑤      所以

考点:机械能守恒定律;牛顿定律及平抛运动。

 

练习册系列答案
相关题目

违法和不良信息举报电话:027-86699610 举报邮箱:58377363@163.com

精英家教网