题目内容

(9分)图甲为1mol氢气状态变化过程的V T图象,己知状态A的参量为pA=1atm,TA=273K,VA=22.4×10 3m3,取1atm=105Pa,在图乙中画出与甲图对应的状态变化过程的p V图,写出计算过程并标明A、B、C的位置。

 

 

【答案】

 

 

【解析】

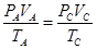
试题分析:据题意,从状态A变化到状态C过程中,由理想气体状态方程可得:

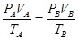
从A变化到B的过程中有:

A、B、C的位置如上图所示。

考点:V T图象、理想气体状态方程

 

练习册系列答案
相关题目

违法和不良信息举报电话:027-86699610 举报邮箱:58377363@163.com

精英家教网