题目内容
在“验证机械能守恒定律”的实验中,所用电源的频率为50Hz,某同学选择了一条理想的纸带,用刻度尺测量时各各计数点对应刻度尺上的读数如图所示,(图中O点是打点计时器打出的第一个点,A、B、C、D、E分别是每打两个点取出的计数点,单位:mm)根据纸带要求计算:
(1)重锤下落的加速度?
(2)若重锤的质量为m,则重锤从开始下落到打B点时,减少的重力势能?
(3)重锤从下落到打B点时增加的动能?
(4)从(2)和(3)数据可得出什么结论?产生误差的主要原因是什么?
【答案】分析:该实验为验证性实验,是在知道原理的情况下进行验证,因此求出物体下落时重力势能的减小量和动能的增加量是否相等即可验证,但是由于存在误差,物体下落时克服阻力做功,因此重力势能的减小量略大于动能的增加量.
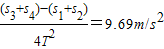
解答:解:(1)计数点点之间的时间间隔为T=0.04s,根据△x=aT2有:
s4-s2=2a1T2
s3-s1=2a1T2
=
(2)减小的重力势能等于重力所做功大小,因此有:△Ep=mgh=1.911mJ
(3)打点周期T=0.02s,根据匀变速直线运动中时间中点的瞬时速度等于该过程中的平均速度有:

重锤下落到B点时增加的动能为:
(4)据计算结果可以得出该实验的实验结论:在允许的范围内,重锤减小的重力势能等于其动能的增加,验证了机械能守恒定律.
答:(1)重锤下落的加速度大小为9.69m/s2;(2)重锤从开始下落到打B点时,减少的重力势能为1.911mJ;(3)重锤从下落到打B点时增加的动能为1.89mJ;(4)产生误差的主要原因是:重物下落的过程中不可避免的受到纸带和限位孔之间的摩擦力作用和空气阻力的作用.
点评:通过该题理解验证性实验的特点,把握实验原理,提升实验能力,该题是考查基础实验知识的好题.
解答:解:(1)计数点点之间的时间间隔为T=0.04s,根据△x=aT2有:
s4-s2=2a1T2
s3-s1=2a1T2
(2)减小的重力势能等于重力所做功大小,因此有:△Ep=mgh=1.911mJ
(3)打点周期T=0.02s,根据匀变速直线运动中时间中点的瞬时速度等于该过程中的平均速度有:
重锤下落到B点时增加的动能为:
(4)据计算结果可以得出该实验的实验结论:在允许的范围内,重锤减小的重力势能等于其动能的增加,验证了机械能守恒定律.
答:(1)重锤下落的加速度大小为9.69m/s2;(2)重锤从开始下落到打B点时,减少的重力势能为1.911mJ;(3)重锤从下落到打B点时增加的动能为1.89mJ;(4)产生误差的主要原因是:重物下落的过程中不可避免的受到纸带和限位孔之间的摩擦力作用和空气阻力的作用.
点评:通过该题理解验证性实验的特点,把握实验原理,提升实验能力,该题是考查基础实验知识的好题.
练习册系列答案
相关题目