题目内容
如图所示,两个用轻线相连的位于光滑水平面上的物块,质量分别为m1和m2,拉力F1和F2方向相反,与轻线沿同一水平直线,且F1>F2.试求在两个物块运动过程中轻线的拉力T.
【答案】分析:先用整体法求解加速度,在用隔离法隔离出木块m1受力分析,根据牛顿第二定律列式求解出细线的拉力.
解答:解:将m1和m2做为整体,由牛顿第二定律,整体加速度为
,
对m1由牛顿第二定律有
m1a=F1-T,
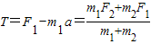
所以
,
即在两个物块运动过程中轻线的拉力为
.
点评:整体法与隔离法是求见连接体问题的常用方法,当不涉及系统内力时,可以用整体法,当要求解系统的内力时可以用隔离法.
解答:解:将m1和m2做为整体,由牛顿第二定律,整体加速度为
对m1由牛顿第二定律有
m1a=F1-T,
所以
即在两个物块运动过程中轻线的拉力为
点评:整体法与隔离法是求见连接体问题的常用方法,当不涉及系统内力时,可以用整体法,当要求解系统的内力时可以用隔离法.
练习册系列答案
相关题目