题目内容

(10分)如图所示,水平光滑轨道AB与竖直半圆形光滑轨道在B点平滑连接,AB段长x=10m,半圆形轨道半径R=2.5m。质量m=0.10kg的小滑块(可视为质点)在水平恒力F作用下,从A点由静止开始运动,经B点时撤去力F,小滑块进入半圆形轨道,沿轨道运动到最高点C,从C点水平飞出。重力加速度g取10m/s2

(1)若小滑块从C点水平飞出后又恰好落在A点。求:

①滑块通过C点时的速度大小;

②滑块刚进入半圆形轨道时,在B点对轨道压力的大小;

(2)如果要使小滑块能够通过C点,求水平恒力F应满足的条件。

 

【答案】

(1)①vC=10m/s②FN=9N(2)F≥0.625N

【解析】

试题分析:(1)设滑块从C点飞出时的速度为vC,从C点运动到A点时间为t,滑块从C点飞出后,做平抛运动

竖直方向:         (1分)

水平方向:x=vCt        (1分)

解得:vC=10m/s       (1分)

‚设滑块通过B点时的速度为vB,根据机械能守恒定律

          (1分)

设滑块在B点受轨道的支持力为FN,根据牛顿第二定律

 

联立解得:FN= 9N        (1分)

依据牛顿第三定律,滑块在B点对轨道的压力F¢N= FN=9N      (1分)

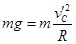
(2)若滑块恰好能够经过C点,设此时滑块的速度为v¢C,依据牛顿第二定律有    

解得=5m/s       (1分)

滑块由A点运动到C点的过程中,由动能定理

Fx- mg×2R≥       (2分)

Fx≥mg×2R+

解得水平恒力F应满足的条件  F≥0.625N        (1分)

考点:牛顿第二定律 牛顿第三定律 机械能守恒定律

 

练习册系列答案
相关题目

违法和不良信息举报电话:027-86699610 举报邮箱:58377363@163.com

精英家教网