题目内容

如图所示电路,当电键K依次接a和b的位置时,在(1)R1>R2(2)RL=R2(3)R1<R2三种情况时,R1、R2上消耗的电功率哪个大?

答案:
解析:

  正确解答:当电键K接不同位置时,电路的结构不同.

  

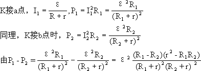
  (1)当R1<R2时,若r2=R1R2P1-P2=0所以P1=P2;若r2<R1R2P1-P2<0所以P1<P2;若r2>RLR2P1-P2>0所以P1>P2

  (2)当R1>R2时,若r2=R1R2P1-P2=0,所以P1=P2;若r2<R1R2

  P1-P2>0所以P1>P2;若r2>R1R2P1-P2<0所以P1<P2

  小结:解决电路问题先审题,审题过后有的同学头脑中出现许多公式,他从中选择合适的公式,有的同学则从头脑中搜寻以前做过的题目,看有没有与本题相似的题目,如果有相似的题目,就把那道题的解题方法照搬过来.这些方法不一定错,但是一旦问题比较复杂,或者题目叙述的是一个陌生的物理情境,这些方法就不好用了.所以,规范化的解题步骤是必不可少的.


练习册系列答案
相关题目

违法和不良信息举报电话:027-86699610 举报邮箱:58377363@163.com

精英家教网