ÌâÄ¿ÄÚÈÝ
ÔÚ¡¶ÓÃË«·ì¸ÉÉæ²â¹âµÄ²¨³¤¡·ÊµÑéÖУ¬½«Ë«·ì¸ÉÉæÊµÑéÒǰ´ÒªÇó°²×°ÔÚ¹â¾ß×ùÉÏ£¨Èçͼ1£©£¬²¢Ñ¡Ó÷ì¼ä¾àd=0.2mmµÄË«·ìÆÁ£®´ÓÒÇÆ÷×¢Ã÷µÄ¹æ¸ñ¿ÉÖª£¬ÏñÆÁÓëË«·ìÆÁ¼äµÄ¾àÀëL=700mm£®È»ºó£¬½ÓͨµçԴʹ¹âÔ´Õý³£¹¤×÷£®¢ÙÒÑÖª²âÁ¿Í·Ö÷³ßµÄ×îС¿Ì¶ÈÊǺÁÃ×£¬¸±³ßÉÏÓÐ50·Ö¶È£¬Ä³Í¬Ñ§µ÷ÕûÊÖÂֺ󣬴ӲâÁ¿Í·µÄÄ¿¾µ¿´È¥£¬µÚ1´ÎÓ³ÈëÑÛÁ±µÄ¸ÉÉæÌõÎÆÈçͼ2£¨a£©Ëùʾ£¬Í¼2£¨a£©ÖеÄÊý×ÖÊǸÃͬѧ¸ø¸÷°µÎƵıàºÅ£¬´Ëʱͼ2£¨b£©ÖÐÓαê³ßÉϵĶÁÊýx1=1.16mm£»½Ó×ÅÔÙת¶¯ÊÖÂÖ£¬Ó³ÈëÑÛÁ±µÄ¸ÉÉæÌõÎÆÈçͼ3£¨a£©Ëùʾ£¬´Ëʱͼ3£¨b£©ÖÐÓαê³ßÉϵĶÁÊýx2= mm£»
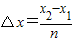
¢ÚÀûÓÃÉÏÊö²âÁ¿½á¹û£¬¾¼ÆËã¿ÉµÃÁ½¸öÏàÁÚÃ÷ÎÆ£¨»ò°µÎÆ£©¼äµÄ¾àÀëx= £»ÕâÖÖÉ«¹âµÄ²¨³¤¦Ë= nm£®
¡¾´ð°¸¡¿·ÖÎö£º¢ÙÓα꿨³ßµÄ¶ÁÊýµÈÓÚÖ÷³ß¶ÁÊý¼ÓÉÏÓαê¶ÁÊý£¬²»Ðè¹À¶Á£®
¢Ú¸ù¾Ý
Çó³öÏàÁÚÃ÷ÌõÎÆ£¨»ò°µÌõÎÆ£©µÄ¼ä¾à£¬ÔÙ¸ù¾Ý
£¬Çó³öÉ«¹âµÄ²¨³¤£®
½â´ð£º½â£º¢ÙÓα꿨³ßµÄÖ÷³ß¶ÁÊýΪ15mm£¬Óαê¶ÁÊýΪ0.02×1=0.02mm£¬ËùÒÔ×îÖÕ¶ÁÊýΪ15.02mm£®
¢ÚÁ½¸öÏàÁÚÃ÷ÎÆ£¨»ò°µÎÆ£©¼äµÄ¾àÀë
=2.31×10-3m=2.31mm£®
¸ù¾Ý
£¬Öª
m=6.60×10-7m=6.60×102nm£®
¹Ê±¾Ìâ´ð°¸Îª£º¢Ù15.02£®¢Ú2.31mm£¬6.60×102£®
µãÆÀ£º½â¾ö±¾ÌâµÄ¹Ø¼üÕÆÎÕÓα꿨³ßµÄ¶ÁÊý·½·¨£¬Óα꿨³ßµÄ¶ÁÊýµÈÓÚÖ÷³ß¶ÁÊý¼ÓÉÏÓαê¶ÁÊý£¬²»Ðè¹À¶Á£®ÒÔ¼°ÕÆÎÕÌõÎÆµÄ¼ä¾à¹«Ê½
£®
¢Ú¸ù¾Ý
½â´ð£º½â£º¢ÙÓα꿨³ßµÄÖ÷³ß¶ÁÊýΪ15mm£¬Óαê¶ÁÊýΪ0.02×1=0.02mm£¬ËùÒÔ×îÖÕ¶ÁÊýΪ15.02mm£®
¢ÚÁ½¸öÏàÁÚÃ÷ÎÆ£¨»ò°µÎÆ£©¼äµÄ¾àÀë
¸ù¾Ý
¹Ê±¾Ìâ´ð°¸Îª£º¢Ù15.02£®¢Ú2.31mm£¬6.60×102£®
µãÆÀ£º½â¾ö±¾ÌâµÄ¹Ø¼üÕÆÎÕÓα꿨³ßµÄ¶ÁÊý·½·¨£¬Óα꿨³ßµÄ¶ÁÊýµÈÓÚÖ÷³ß¶ÁÊý¼ÓÉÏÓαê¶ÁÊý£¬²»Ðè¹À¶Á£®ÒÔ¼°ÕÆÎÕÌõÎÆµÄ¼ä¾à¹«Ê½
Á·Ï°²áϵÁдð°¸
Ïà¹ØÌâÄ¿
ÔÚ×ö¡°ÓÃË«·ì¸ÉÉæ²â¹âµÄ²¨³¤¡±ÊµÑéʱ£¬Ä³Í¬Ñ§ÓÃa¡¢bÁ½ÖÖµ¥É«¹â·Ö±ðͨ¹ýͬһ˫·ì¸ÉÉæ×°Ö㬷¢ÏÖÓÃa¹âµÃµ½µÄ¸ÉÉæÌõÎÆ¼ä¾à±Èb¹âµÄ´ó£¬Ôò£¨¡¡¡¡£©
| A¡¢b¹âͨ¹ýijÕϰÎïÄÜ·¢ÉúÃ÷ÏÔÑÜÉäÏÖÏó£¬a¹âÒ²Ò»¶¨ÄÜ·¢ÉúÃ÷ÏÔÑÜÉä | B¡¢a¹âÄÜ·¢ÉúÆ«ÕñÏÖÏó£¬b¹â²»ÄÜ | C¡¢Õæ¿ÕÖÐa¹âµÄ²¨³¤Ò»¶¨Ð¡ÓÚb¹âµÄ²¨³¤ | D¡¢´ÓijÖÖ½éÖÊÒÔÏàͬµÄÈëÉä½ÇÉäÈë¿ÕÆøÊ±Èôb¹âÄÜ·¢ÉúÈ«·´É䣬a¹âÒ²Ò»¶¨ÄÜ·¢ÉúÈ«·´Éä |