题目内容
如图所示,两平行金属板A、B长8cm,两板间距离d=8cm,A板比B板电势高300V,一带正电的粒子电荷量q=10-10C,质量m=10-20kg,沿电场中心线RO垂直电场线飞入电场,初速度υ=2×106m/s,粒子飞出平行板电场后经过界面MN、PS间的无电场区域后,进入固定在O点的点电荷Q形成的电场区域,(设界面PS右边点电荷的电场分布不受界面的影响),已知两界面MN、PS相距为12cm,D是中心线RO与界面PS的交点,O点在中心线上,距离界面PS为9cm,粒子穿过界面PS作匀速圆周运动,最后垂直打在放置于中心线上的荧光屏bc上.(1)求粒子穿过界面MN时偏离中心线RO的距离多远?到达PS界面时离D点多远?
(2)在图上粗略画出粒子运动的轨迹.
(3)确定点电荷Q的电性并求其电荷量的大小.
【答案】分析:(1)带电粒子垂直进入匀强电场后,只受电场力,做类平抛运动,水平方向做匀速直线运动,竖直方向做匀加速直线运动.由牛顿定律求出加速度,由运动学公式求出粒子飞出电场时的侧移h,由几何知识求解粒子穿过界面PS时偏离中心线RO的距离.
(2)带电粒子垂直进入匀强电场后,只受电场力,做类平抛运动,在MN、PS间的无电场区域做匀速直线运动,界面PS右边做圆周运动,最后垂直打在放置于中心线上的荧光屏bc上,根据运动情况即可画出图象.
(3)由运动学公式求出粒子飞出电场时速度的大小和方向.粒子穿过界面PS后将绕电荷Q做匀速圆周运动,由库仑力提供向心力,由几何关系求出轨迹半径,再牛顿定律求解Q的电量.
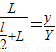
解答:解:(1)粒子穿过界面MN时偏离中心线RO的距离(侧向位移):
y=
at2
a=
=
,
l=vt
y=
=
=0.03m=3cm
带电粒子在离开电场后将做匀速直线运动,其轨迹与PS线交于a,设a到中心线的距离为Y.
又由相似三角形得

Y=4y=12cm
(2)带电粒子垂直进入匀强电场后,只受电场力,做类平抛运动,在MN、PS间的无电场区域做匀速直线运动,界面PS右边做圆周运动,最后垂直打在放置于中心线上的荧光屏bc上,图象如图所示:

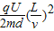
(3)带电粒子到达a处时,带电粒子的水平速度:vx=υ=2×106m/s
竖直速度:所以 υy=at=1.5×160m/s,
v合=2.5×106m/s
该带电粒子在穿过界面PS后将绕点电荷Q作匀速圆周运动.所以Q带负电.根据几何关系:半径r=15cm

解得:Q=1.04×10-8C
答:(1)求粒子穿过界面MN时偏离中心线RO的距离为3cm;到达PS界面时离D点12cm;
(2)粒子运动的轨迹如图所示;
(3)Q带负电,电荷量为Q=1.04×10-8C.
点评:本题是类平抛运动与匀速圆周运动的综合,分析粒子的受力情况和运动情况是基础.难点是运用几何知识研究圆周运动的半径.
(2)带电粒子垂直进入匀强电场后,只受电场力,做类平抛运动,在MN、PS间的无电场区域做匀速直线运动,界面PS右边做圆周运动,最后垂直打在放置于中心线上的荧光屏bc上,根据运动情况即可画出图象.
(3)由运动学公式求出粒子飞出电场时速度的大小和方向.粒子穿过界面PS后将绕电荷Q做匀速圆周运动,由库仑力提供向心力,由几何关系求出轨迹半径,再牛顿定律求解Q的电量.
解答:解:(1)粒子穿过界面MN时偏离中心线RO的距离(侧向位移):
y=
a=
l=vt
y=
带电粒子在离开电场后将做匀速直线运动,其轨迹与PS线交于a,设a到中心线的距离为Y.
又由相似三角形得
Y=4y=12cm
(2)带电粒子垂直进入匀强电场后,只受电场力,做类平抛运动,在MN、PS间的无电场区域做匀速直线运动,界面PS右边做圆周运动,最后垂直打在放置于中心线上的荧光屏bc上,图象如图所示:
(3)带电粒子到达a处时,带电粒子的水平速度:vx=υ=2×106m/s
竖直速度:所以 υy=at=1.5×160m/s,
v合=2.5×106m/s
该带电粒子在穿过界面PS后将绕点电荷Q作匀速圆周运动.所以Q带负电.根据几何关系:半径r=15cm
解得:Q=1.04×10-8C
答:(1)求粒子穿过界面MN时偏离中心线RO的距离为3cm;到达PS界面时离D点12cm;
(2)粒子运动的轨迹如图所示;
(3)Q带负电,电荷量为Q=1.04×10-8C.
点评:本题是类平抛运动与匀速圆周运动的综合,分析粒子的受力情况和运动情况是基础.难点是运用几何知识研究圆周运动的半径.
练习册系列答案
相关题目
| A、把两板间距离减小一半,同时把粒子速率增加一倍 | B、把两板的距离增大一倍,同时把板间的磁感应强度增大一倍 | C、把开关S断开,两板的距离增大一倍,同时把板间的磁感应强度减为一半 | D、把开关S断开,两板的距离减小一半,同时把粒子速率减小一半 |