ÌâÄ¿ÄÚÈÝ
ijͬѧÀûÓõçÁ÷¡¢µçѹ´«¸ÐÆ÷Ãè»æÐ¡µÆÅݵķü°²ÌØÐÔÇúÏߣ¬²ÉÓÃÁËÈçͼ¼×ËùʾµÄµç·¡£ÊµÑéÖеóöÁËÈçÏÂÒ»×éÊý¾Ý£º
|
µçÁ÷£¨A£© |
0.00 |
0.10 |
0.20 |
0.30 |
0.36 |
0.39 |
0.41 |
0.43 |
|
µçѹ£¨V£© |
0.00 |
0.20 |
0.50 |
1.00 |
1.50 |
2.00 |
2.50 |
3.00 |
![]()
£¨1£©Í¼¼×ÖоØÐοò1ÖÐÓ¦½Ó £¬¾ØÐοò2ÖÐÓ¦½Ó £¬¾ØÐοò3ÖÐÓ¦½Ó £»£¨Ñ¡Ìî¡°µçÁ÷´«¸ÐÆ÷¡±¡¢¡°µçѹ´«¸ÐÆ÷¡±»ò¡°Ð¡µÆÅÝ¡±£©
£¨2£©ÔÚͼÒÒÖл³öСµÆÅݵÄU¡ªIͼÏߣ»
£¨3£©°ÑÓë±¾ÌâÖÐÏàͬµÄÁ½¸öµÆÅݽӵ½Èçͼ±ûËùʾµÄµç·ÖУ¬ÈôµçÔ´µç¶¯ÊÆE£½4.5V£¬ÄÚ×è²»¼Æ£¬¶¨Öµµç×èR£½10¦¸£¬´Ëʱÿ¸öµÆÅݵÄʵ¼Ê¹¦ÂÊÊÇ W¡££¨½á¹û±£ÁôÁ½Î»ÓÐЧÊý×Ö£©
£¨1£© µçѹ´«¸ÐÆ÷£¬ СµÆÅÝ£¬ µçÁ÷´«¸ÐÆ÷ £»£¨2£©¼ûÓÒͼ£¨3£© 0.20¡«0.26
¡¾½âÎö¡¿
ÊÔÌâ·ÖÎö£º£¨1£©Óɵç·ͼ֪¾ØÐοò2ûÓëÊý¾Ý²É¼¯Æ÷ÏàÁ¬£¬ËùÒÔ¾ØÐοò2Ó¦½ÓµÆÅÝ£¬ÓëµÆ²¢ÁªµÄ¾ØÐοò1Ó¦½Óµçѹ´«¸ÐÆ÷£¬ÓëµÆ´®ÁªµÄ¾ØÐοò3Ó¦½ÓµçÁ÷´«¸ÐÆ÷¡£
ÓɱíÖÐÊý¾ÝÏÈÃèµã£¬È»ºóÓù⻬µÄÇúÏßÁ¬½ÓÆðÀ´£¬¾ßÌåͼ¼û´ð°¸¡£
£¨2£©¼ûÓÒͼ
![]()
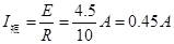
£¨3£©ÓÉͼ±ûÖª£¬Á½µÆÅݶÌ·ʱµÄµç·µçÁ÷
,ÿ¸öµÆÅÝ·Öµ£µçѹ2.25V£¬×÷³öµçÔ´µÄU-IͼÏñ£¬ÓëСµÆÅݵÄU-IͼÏñµÄ½»µã¼´ÊÇͨ¹ýµÆÅݵĵçÁ÷ºÍµçѹ£¬ÈçÉÏͼ֪µçÁ÷I=0.28A ¡£
¿¼µã£º±¾Ì⿼²éÃèµã×÷ͼ£¬¹¦ÂʵĹ«Ê½£¬ÀûÓÃͼÏñ½â¾öÎÊÌâ
µãÆÀ£º±¾ÌâѧÉú񻄿³ÉÁ¼ºÃµÄ×÷ͼϰ¹ß£¬ÒªÓÃǦ±Ê£¬³ß×ӹ淶×÷ͼ£¬µÚÈýÎÊÇó½âʱ£¬ÒòСµÆÅݵĵç×è±ä»¯£¬ËùÒÔÒªÓÃͼÏñ¶Á³öµçѹºÍµçÁ÷¡£
ijͬѧÀûÓõçÁ÷¡¢µçѹ´«¸ÐÆ÷Ãè»æÐ¡µÆÅݵķü°²ÌØÐÔÇúÏߣ¬²ÉÓÃÁËÈçͼ¼×ËùʾµÄµç·¡£ÊµÑéÖеóöÁËÈçÏÂÒ»×éÊý¾Ý£º
| µçÁ÷£¨A£© | 0.00 | 0.10 | 0.20 | 0.30 | 0.36 | 0.39 | 0.41 | 0.43 |
| µçѹ£¨V£© | 0.00 | 0.20 | 0.50 | 1.00 | 1.50 | 2.00 | 2.50 | 3.00 |
![]()
£¨1£©Í¼¼×ÖоØÐοò1ÖÐÓ¦½Ó £¬¾ØÐοò2ÖÐÓ¦½Ó £¬¾ØÐοò3ÖÐÓ¦½Ó £»£¨Ñ¡Ìî¡°µçÁ÷´«¸ÐÆ÷¡±¡¢¡°µçѹ´«¸ÐÆ÷¡±»ò¡°Ð¡µÆÅÝ¡±£©
£¨2£©ÔÚͼÒÒÖл³öСµÆÅݵÄU¡ªIͼÏߣ»
£¨3£©°ÑÓë±¾ÌâÖÐÏàͬµÄÁ½¸öµÆÅݽӵ½Èçͼ±ûËùʾµÄµç·ÖУ¬ÈôµçÔ´µç¶¯ÊÆE = 4.5V£¬ÄÚ×è²»¼Æ£¬¶¨Öµµç×èR = 10¦¸£¬´Ëʱÿ¸öµÆÅݵÄʵ¼Ê¹¦ÂÊÊÇ W¡££¨½á¹û±£ÁôÁ½Î»ÓÐЧÊý×Ö£©
![]()
ijͬѧÀûÓõçÁ÷¡¢µçѹ´«¸ÐÆ÷Ãè»æÐ¡µÆÅݵķü°²ÌØÐÔÇúÏߣ¬²ÉÓÃÁËÈçͼ¼×ËùʾµÄµç·¡£ÊµÑéÖеóöÁËÈçÏÂÒ»×éÊý¾Ý£º
| µçÁ÷£¨A£© | 0.00 | 0.10 | 0.20 | 0.30 | 0.36 | 0.39 | 0.41 | 0.43 |
| µçѹ£¨V£© | 0.00 | 0.20 | 0.50 | 1.00 | 1.50 | 2.00 | 2.50 | 3.00 |
£¨1£©Í¼¼×ÖоØÐοò1ÖÐÓ¦½Ó ¡ø £¬¾ØÐοò2ÖÐÓ¦½Ó ¡ø £¬¾ØÐοò3ÖÐÓ¦½Ó ¡ø £»£¨Ñ¡Ìî¡°µçÁ÷´«¸ÐÆ÷¡±¡¢¡°µçѹ´«¸ÐÆ÷¡±»ò¡°Ð¡µÆÅÝ¡±£©
£¨2£©ÔÚͼÒÒÖл³öСµÆÅݵÄU¡ªIͼÏߣ»
£¨3£©°ÑÓë±¾ÌâÖÐÏàͬµÄÁ½¸öµÆÅݽӵ½Èçͼ±ûËùʾµÄµç·ÖУ¬ÈôµçÔ´µç¶¯ÊÆE = 4.5V£¬ÄÚ×è²»¼Æ£¬¶¨Öµµç×èR = 10¦¸£¬´Ëʱÿ¸öµÆÅݵÄʵ¼Ê¹¦ÂÊÊÇ ¡ø W¡££¨½á¹û±£ÁôÁ½Î»ÓÐЧÊý×Ö£©
ijͬѧÀûÓõçÁ÷¡¢µçѹ´«¸ÐÆ÷Ãè»æÐ¡µÆÅݵķü°²ÌØÐÔÇúÏߣ¬²ÉÓÃÁËÈçͼ¼×ËùʾµÄµç·¡£ÊµÑéÖеóöÁËÈçÏÂÒ»×éÊý¾Ý£º
| µçÁ÷£¨A£© | 0.00 | 0.10 | 0.20 | 0.30 | 0.36 | 0.39 | 0.41 | 0.43 |
| µçѹ£¨V£© | 0.00 | 0.20 | 0.50 | 1.00 | 1.50 | 2.00 | 2.50 | 3.00 |
£¨1£©Í¼¼×ÖоØÐοò1ÖÐÓ¦½Ó £¬¾ØÐοò2ÖÐÓ¦½Ó £¬¾ØÐοò3ÖÐÓ¦½Ó £»£¨Ñ¡Ìî¡°µçÁ÷´«¸ÐÆ÷¡±¡¢¡°µçѹ´«¸ÐÆ÷¡±»ò¡°Ð¡µÆÅÝ¡±£©
£¨2£©ÔÚͼÒÒÖл³öСµÆÅݵÄU¡ªIͼÏߣ»
£¨3£©°ÑÓë±¾ÌâÖÐÏàͬµÄÁ½¸öµÆÅݽӵ½Èçͼ±ûËùʾµÄµç·ÖУ¬ÈôµçÔ´µç¶¯ÊÆE= 4.5V£¬ÄÚ×è²»¼Æ£¬¶¨Öµµç×èR = 10¦¸£¬´Ëʱÿ¸öµÆÅݵÄʵ¼Ê¹¦ÂÊÊÇ W¡££¨½á¹û±£ÁôÁ½Î»ÓÐЧÊý×Ö£©
ijͬѧÀûÓõçÁ÷¡¢µçѹ´«¸ÐÆ÷Ãè»æÐ¡µÆÅݵķü°²ÌØÐÔÇúÏߣ¬²ÉÓÃÁËÈçͼ¼×ËùʾµÄµç·¡£ÊµÑéÖеóöÁËÈçÏÂÒ»×éÊý¾Ý£º
| µçÁ÷£¨A£© | 0.00 | 0.10 | 0.20 | 0.30 | 0.36 | 0.39 | 0.41 | 0.43 |
| µçѹ£¨V£© | 0.00 | 0.20 | 0.50 | 1.00 | 1.50 | 2.00 | 2.50 | 3.00 |
£¨1£©Í¼¼×ÖоØÐοò1ÖÐÓ¦½Ó ¡ø £¬¾ØÐοò2ÖÐÓ¦½Ó ¡ø £¬¾ØÐοò3ÖÐÓ¦½Ó ¡ø £»£¨Ñ¡Ìî¡°µçÁ÷´«¸ÐÆ÷¡±¡¢¡°µçѹ´«¸ÐÆ÷¡±»ò¡°Ð¡µÆÅÝ¡±£©
£¨2£©ÔÚͼÒÒÖл³öСµÆÅݵÄU¡ªIͼÏߣ»
£¨3£©°ÑÓë±¾ÌâÖÐÏàͬµÄÁ½¸öµÆÅݽӵ½Èçͼ±ûËùʾµÄµç·ÖУ¬ÈôµçÔ´µç¶¯ÊÆE = 4.5V£¬ÄÚ×è²»¼Æ£¬¶¨Öµµç×èR = 10¦¸£¬´Ëʱÿ¸öµÆÅݵÄʵ¼Ê¹¦ÂÊÊÇ ¡ø W¡££¨½á¹û±£ÁôÁ½Î»ÓÐЧÊý×Ö£©