题目内容

如图所示,一长为l、质量为M的绝缘板静止在光滑水平面上,板的中点有一个质量为m的小物块,它带有电荷量为q的正电荷.在绝缘板右侧有一磁感应强度为B,方向垂直于纸面向里的匀强磁场,磁场的宽度也为l.在水平恒力F的作用下绝缘板与物块一起向右运动.物块进入磁场前与绝缘板相对静止,进入后与绝缘板产生相对滑动,当物块运动到磁场的右边界时,恰好位于绝缘板的左端,此时物块与板间的摩擦力刚好减为零,已知物块经过磁场所用的时间为t.求:

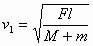
(1)物块进入磁场左边界时的速度大小;

(2)物块到达磁场右边界时的速度大小;

(3)绝缘板完全穿出磁场时的速度大小.

答案:
解析:

  (1)

  (2)

  (3)


练习册系列答案
相关题目

违法和不良信息举报电话:027-86699610 举报邮箱:58377363@163.com

精英家教网