题目内容
已知地球的半径为R地球表面的重力加速度为g,一人造地球卫星在离地面高h的轨道上做匀速圆周运动,求该人造地球卫星的周期?
【答案】分析:设地球的质量为M,静止在地面上的物体质量为m,根据地球表面重力等于向心力列式,再根据人造地球卫星做匀速圆周运动时由万有引力提供向心力列式,由以上两式即可求得该人造地球卫星的周期.
解答:解:设地球的质量为M,静止在地面上的物体质量为m,忽略地球的自转时

所以 GM=gR2
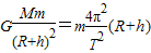
人造地球卫星做匀速圆周运动时由万有引力提供向心力:

由以上两式得该人造地球卫星的周期:

答:该人造地球卫星的周期为
.
点评:本题是万有引力提供向心力公式的直接应用,难度不大,属于基础题.
解答:解:设地球的质量为M,静止在地面上的物体质量为m,忽略地球的自转时
所以 GM=gR2
人造地球卫星做匀速圆周运动时由万有引力提供向心力:
由以上两式得该人造地球卫星的周期:
答:该人造地球卫星的周期为
点评:本题是万有引力提供向心力公式的直接应用,难度不大,属于基础题.
练习册系列答案
相关题目