题目内容

如图所示,在光滑水平面上停放着质量为m装有光滑弧形槽的小车,一个质量也为m的小球以水平速度v0沿槽口向小车滑去,到达某一高度后,小球又返回右端,则(    )

A.小球以后将向右做平抛运动

B.小球将做自由落体运动

C.此过程小球对小车做的功为

D.小球在弧形槽上升的最大高度为

 

【答案】

B C

【解析】

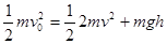
试题分析:小球从地段进入圆弧槽,到达最高点后返回到低端时 两者交换速度,即小球的速度减少为零,小车的速度变为v0, 小球以后将做自由落体运动,A错B对;此过程中小球对小车做的功等于小车动能的增量即,C选项正确;小球上升到最高点时达到共速v,根据动量守恒 mv0=2mv,解得v=v0/2,根据能量守恒定律 ,解得,选项D错误。

考点:动量守恒定律及能量守恒定律。

 

练习册系列答案
相关题目

违法和不良信息举报电话:027-86699610 举报邮箱:58377363@163.com

精英家教网