题目内容

把月球和地球都视为质量分布均匀的球,它们的平均密度也近似相等,已知月球和地球半径之比为.若环绕地球表面飞行的宇宙飞船的线速度为v0,求绕月球表面飞行的宇宙飞船的线速度.

答案:
解析:

  答案:v=

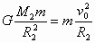
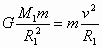
  解析:在地球表面飞行的宇宙飞船,万有引力提供向心力.在月球表面飞行的宇宙飞船,万有引力提供向心力,由ρ=两球的平均密度相同,得

  由题意,v=


练习册系列答案
相关题目

违法和不良信息举报电话:027-86699610 举报邮箱:58377363@163.com

精英家教网