题目内容

(7分)某同学在做“探究小车速度随时间变化规律”的实验时,得到一条点迹清晰的纸带如图,在纸带上依次选出7个计数点,分别标以O、A、B、C、D、E和F,每相邻的两个计数点间还有四个点未画出,打点计时器所用电源的频率是50Hz。

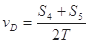
①如果测得C、D两点间距S4=2.70cm,D、E两点间距S5=2.90cm,则据此数据计算在打D点时小车的速度公式为      ,小车的速度值vD=    m/s。(保留三位有效数字)
②该同学分别算出其它速度:vA=0.220m/s,vB=0.241m/s,vc=0.258m/s, vE="0.300m/s" ,请设计实验数据记录表格填入框中,并在坐标系中作出小车运动的v-t图像,设O点为计时起点。
③由所做v-t图像判断,小车所做的运动为             。

   ,(1分)0.280  (1分)

时间t
(s)
0.1
0.2
0.3
0.4
0.5
速度v
(m/s)
0.220
0.241
0.258
0.280
0.300
 
--------2分
--------2分
③ 匀加速直线运动    (1分)

解析试题分析:①D点为CE间的中间时刻,由中间时刻的瞬时速度等于平均速度可知②根据表格进行描点连线,画出来应该是一条直线,把不再直线上的点分居线的两侧,偏离太远的点舍去不要,尽量让直线沾满整个表格③由所做v-t图像判断,图线的斜率恒定不变,小车所做的运动为匀加速直线运动
考点:探究小车速度随时间变化规律
点评:本题难度中等,特别要注意的是描点连线,由于没有给出坐标的标度,所以在选择标度上,应该尽量让直线占满整个表格

练习册系列答案
相关题目
(1)在研究“互成角度的两个力的合成”实验中,橡皮条的一端固定在木板上.用两个弹簧秤把橡皮条的另一端拉到某一确定的0点,以下操作中错误的是
ACD
ACD

A.同一次实验过程中.O点位置允许变动
B.实验中,弹簧秤必须与木板平行,读数时视线要正对弹簧秤刻度
C.实验中,必须将其中一个弹簧秤沿某一方向拉到最大量程,然后只需调节另一弹簧秤拉力的大小和方向,把橡皮条另一端拉到O点.
D.实验中,把橡皮条的另一端拉到O点时,两弹簧秤之间的夹角应取90°,以便于算出合力的大小.
(2)某同学在做“探究小车速度随时问变化规律”的实验时,打点计时器所用的电源的频率是50Hz,在实验中得到一条点迹清晰的纸带,他把某一点记作O,再选依次相邻的6个点作为测量点,分别标以A、B、C、D、E和F,如图1所示.

①如果测得C、D两点相距2.70Cm.D、E两点相距2.90Cm,则在打D点时小车的速度是
1.40
1.40
m/s.
②该同学分别算出打各点时小车的速度,然后根据数据在v-t坐标系中描点(如图2所示),由此可求得小车的加速度a=
5.00
5.00
m/s2
(3)某同学在做“研究平抛物体的运动”实验中,忘记记下小球做运动的起点,如图3所示为小球在空中运动的轨迹.其中A点是小球运动一段时间后的位置,B点坐标是(20cm,15cm).C点坐标(40cm.40cm),据此可以求出小球作平抛运动的初速度为
2.0m/s
2.0m/s
.开始做平抛运动的初始位置的坐标是
(-20cm、-5cm)
(-20cm、-5cm)
某同学在做“探究小车速度随时间变化的规律”的实验请你帮助解决下列问题.
(1)在做用打点计时器测速度的实验中,要用到打点计时器,打点计时器是一种
计时
计时
仪器,在图1所示打点计时器的结构图中,编号②的名称是
线圈
线圈
; 编号④的名称是
永久磁铁
永久磁铁
,编号⑤的名称是
振针
振针
.现在实验室多用电火花计时器,其电源电压是
220
220
V,我国常用的电源频率为50Hz,它每隔
0.02
0.02
s打一个点.
(2)在实验的过程中,有如下基本步骤,它们正确的排列顺序为
ABDCFE
ABDCFE
(只填字母).
A.把打点计时器固定在桌子上          B.安好纸带
C.松开纸带让物体带着纸带运动        D.接通低压交流电源
E.取下纸带                          F.断开开关
(3)该同学得到如图2所示的纸带,并在这条纸带上取好了计数点(每两个计数点间还有4个点未画出).计数点的编号依次为:A、B、C、D、E,各点与A点间的距离如图所示.根据该同学打出的纸带我们可以判断小车与纸带的
(填“左”或“右”)端相连,计算可知D点对应小车的速度是
2.16
2.16
m/s,AE间的平均速度是
2.33
2.33
m/s,小车运动的加速度大小是
4.02
4.02
m/s2.(结果保留3位有效数字)
(4)实验结束后,该同学发现这样计算出的加速度值比真实值偏大,形成误差的原因可能是
C
C

A.实验时电源的电压高于220V
B.实验时打点计时器用的是直流电源
C.实验时打点计时器的工作频率小于50Hz
D.实验时打点计时器的工作电流小于额定电流.

违法和不良信息举报电话:027-86699610 举报邮箱:58377363@163.com

精英家教网