题目内容
某实验小组在进行“用单摆测定重力加速度”的实验中,已知单摆在摆动过程中的摆角小于5°;在测量单摆的周期时,从单摆运动到最低点开始计时且记数为1,到第n次经过最低点所用的时间内为t;在测量单摆的摆长时,先用毫米刻度尺测得悬挂后的摆线长(从悬点到摆球的最上端)为L,再用游标卡尺测得摆球的直径为d.(1)该单摆在摆动过程中的周期为 (2)用上述物理量的符号写出求重力加速度的一般表达式g= .
【答案】分析:(1)根据从单摆运动到最低点开始计时且记数为1,到第n次经过最低点所用的时间内为t,确定单摆全振动的次数,再求解周期.
(2)单摆的长度为l=L+
.将摆长、周期代入单摆的周期公式求出重力加速度的表达式g.
解答:解:(1)由题,从单摆运动到最低点开始计时且记数为1,到第n次经过最低点所用的时间内为t,则单摆全振动的次数为N=
,周期T=
=
(2)单摆的长度为l=L+
.由单摆的周期公式T=2
得,g=
.
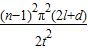
将为l=L+
,T=
代入解得g=
故答案为:
,
点评:本题中单摆的周期采用累积法测量的,计算周期时,要准确算出单摆全振动的次数,不能这样来计算全振动的次数:N=
.
(2)单摆的长度为l=L+
解答:解:(1)由题,从单摆运动到最低点开始计时且记数为1,到第n次经过最低点所用的时间内为t,则单摆全振动的次数为N=
(2)单摆的长度为l=L+
将为l=L+
故答案为:
点评:本题中单摆的周期采用累积法测量的,计算周期时,要准确算出单摆全振动的次数,不能这样来计算全振动的次数:N=
练习册系列答案
相关题目