题目内容
人造地球卫星做半径为r,线速度大小为v的匀速圆周运动.当其角速度变为原来的
【答案】分析:人造地球卫星做匀速圆周运动,万有引力提供向心力,运用牛顿第二定律列方程求角速度与半径的关系,再运用牛顿第二定律列方程求线速度与半径的关系.
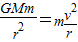
解答:解:万有引力提供向心力,得:
得:
得:
又:


故答案为:2r,
点评:人造地球卫星做匀速圆周运动,一定要使用万有引力提供向心力的公式来讨论半径与线速度、角速度、周期等的关系.
解答:解:万有引力提供向心力,得:
得:
得:
又:
故答案为:2r,
点评:人造地球卫星做匀速圆周运动,一定要使用万有引力提供向心力的公式来讨论半径与线速度、角速度、周期等的关系.
练习册系列答案
相关题目