题目内容
如图所示,质量为m的木块压缩轻质弹簧静止在O点,水平面ON段光滑,长为L的NN′段粗糙,木块与NN′间的动摩擦因数为μ.现释放木块,若木块与弹簧相连接,则木块最远到达NN′段中点,然后在水平面上做往返运动,且第一次向左回到N时速度大小为v;若木块与弹簧不相连接,木块与弹簧在N点即分离,通过N′点时以水平速度飞出,木块落地点P到N′的水平距离为s.求:(1)木块通过N′点时的速度;
(2)木块从O运动到N的过程中弹簧弹力做的功;
(3)木块落地时速度vp的大小和方向.
【答案】分析:(1)木块从N到NN′中点,再回到N点,此过程弹簧弹力做功代数和为零,克服摩擦力做的功为W克;若木块与弹簧不相连接,木块从N到达N′过程中,弹簧弹力不做功,克服摩擦力做的功也为W克,又因为两种情况木块到达N时的速度相同,所以根据动能定理可得,到达N′的速度v′应等于第一次回到N时速度v;
(2)木块从O运动到N的过程中弹簧弹力做的功可以通过动能定理求解;
(3)木块从N′点抛出后做平抛运动,已知水平位移和水平速度,可根据平抛运动的公式求解末速度.
解答:解:(1)木块从N到NN′中点,再回到N点,此过程弹簧弹力做功代数和为零,克服摩擦力做的功为W克;若木块与弹簧不相连接,木块从N到达N′过程中,弹簧弹力不做功,克服摩擦力做的功也为W克,又因为两种情况木块到达N时的速度相同,所以根据动能定理可得,到达N′的速度v′应等于第一次回到N时速度v,即v′=v
(2)木块从O运动到N的过程中弹簧弹力做的功为W:
W-W克=
W=
+μmgL
(3)木块落地时速度为vp
t=
h=
=
mgh=
-
解得:
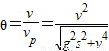
vp与水平方向夹角为θ,
cos
所以θ=arccos
.
答:(1)木块通过N′点时的速度为v;(2)木块从O运动到N的过程中弹簧弹力做的功为
+μmgL;(3)木块落地时速度vp的大小为
,方向与水平方向成arccos
度角.
点评:该题涉及的知识点比较多,运动过程相对复杂,对同学们分析问题的能力较高,属于难度较大的题目.
(2)木块从O运动到N的过程中弹簧弹力做的功可以通过动能定理求解;
(3)木块从N′点抛出后做平抛运动,已知水平位移和水平速度,可根据平抛运动的公式求解末速度.
解答:解:(1)木块从N到NN′中点,再回到N点,此过程弹簧弹力做功代数和为零,克服摩擦力做的功为W克;若木块与弹簧不相连接,木块从N到达N′过程中,弹簧弹力不做功,克服摩擦力做的功也为W克,又因为两种情况木块到达N时的速度相同,所以根据动能定理可得,到达N′的速度v′应等于第一次回到N时速度v,即v′=v
(2)木块从O运动到N的过程中弹簧弹力做的功为W:
W-W克=
W=
(3)木块落地时速度为vp
t=
mgh=
解得:
vp与水平方向夹角为θ,
cos
所以θ=arccos
答:(1)木块通过N′点时的速度为v;(2)木块从O运动到N的过程中弹簧弹力做的功为
点评:该题涉及的知识点比较多,运动过程相对复杂,对同学们分析问题的能力较高,属于难度较大的题目.
练习册系列答案
相关题目
| A、地面对楔形物块的支持力为(M+m)g | B、地面对楔形物块的摩擦力为零 | C、楔形物块对小物块摩擦力可能为零 | D、小物块一定受到四个力作用 |