题目内容
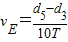
在做“研究匀变速直线运动”的实验时,某同学得到一条用打点计时器打下的纸带如图所示,并在其上取了A、B、C、D、E、F、G等7个计数点,每相邻两个计数点间还有4个点,图中没有画出,打点计时器接周期为T=0.02s的交流电源.(1)计算vE的公式为vE= (用给定字母表示);
(2)若测得d6=65.00cm,d3=19.00cm,物体的加速度a= m/s2;
(3)如果当时电网中交变电流的频率f>50Hz,而做实验的同学并不知道,那么加速度的测量值比实际值 (选填偏大或偏小).
【答案】分析:纸带实验中,若纸带匀变速直线运动,测得纸带上的点间距,利用匀变速直线运动的推论,可计算出打出某点时纸带运动的瞬时速度和加速度.
解答:解:(1)每相邻两个计数点间还有4个点,图中没有画出,所以相邻的计数点之间的时间间隔为5T.
利用匀变速直线运动的推论得:
vE=
(2)根据匀变速直线运动的推论公式△x=aT2可得
a=
=
=3.00m/s2
(3)如果在某次实验中,交流电的频率51Hz,f>50Hz,那么实际打点周期变小,
根据运动学公式△x=at2得:真实的加速度值就会偏大,
所以测量的加速度值与真实的加速度值相比是偏小.
故答案为:(1)
(2)3.00m/s2 (3)偏小
点评:知道相邻的计数点之间的时间间隔相等.
要注意单位的换算.
知道运用平均速度代替瞬时速度的思想.
解答:解:(1)每相邻两个计数点间还有4个点,图中没有画出,所以相邻的计数点之间的时间间隔为5T.
利用匀变速直线运动的推论得:
vE=
(2)根据匀变速直线运动的推论公式△x=aT2可得
a=
(3)如果在某次实验中,交流电的频率51Hz,f>50Hz,那么实际打点周期变小,
根据运动学公式△x=at2得:真实的加速度值就会偏大,
所以测量的加速度值与真实的加速度值相比是偏小.
故答案为:(1)
(2)3.00m/s2 (3)偏小
点评:知道相邻的计数点之间的时间间隔相等.
要注意单位的换算.
知道运用平均速度代替瞬时速度的思想.
练习册系列答案
相关题目