题目内容

如图所示,电阻R1为6 Ω,电源内阻r为1 Ω,当合上电键S且滑动变阻器R2为3 Ω时,电源的总功率为20 W,电源的输出功率为16 W,灯泡正常发光.求:

(1)电灯的电阻和灯的额定功率;

(2)当电键S断开时,为使灯泡正常发光,滑动变阻器的阻值应调到多少?

答案:
解析:

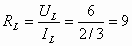
  (1)电键S合上,A

  ,所以V,V

  A,A

  V,V

  灯的电阻W

  (2)电键S断开,V

  滑动变阻器支路的阻值

  滑动变阻器的阻值


练习册系列答案
相关题目

违法和不良信息举报电话:027-86699610 举报邮箱:58377363@163.com

精英家教网