题目内容

如图所示,在直角坐标系Oxy平面的第三、四象限内分别存在着垂直于Oxy平面的匀强磁场,第三象限的磁感应强度大小是第四象限的2倍,方向相反。质量、电荷量相同的负粒子a、b,某时刻以大小相同的速度分别从x轴上的P、Q两点沿y轴负方向垂直射入第四、三象限磁场区域。已知a粒子在离开第四象限磁场时,速度方向与y轴的夹角为60o,且在第四象限磁场中运行时间是b粒子在第三象限磁场中运行时间的4倍。不计重力和两粒子之间的相互作用力。求: a、b两粒子经Y轴时距原点O的距离之比。

 

【答案】

【解析】

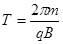
试题分析:设第三象限内磁场磁感应强度大小为2B,第四象限内磁场磁感应强度大小为B,粒子a、b质量为m电荷量大小为q进入磁场区域速度为v由洛伦兹力和牛顿第二定律得:

                                                

                                                 

                                               

由题设条件有:                      

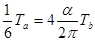
设b粒子在第三象限中运行时转过的圆心角为,由a、b两粒子运行时间关系有:      即         

                    

                                           

                              

考点:带电粒子在磁场中的运动

点评:对带电粒子的匀速圆周运动的求解,关键是画出匀速圆周运动的轨迹,利用几何知识找出圆心及相应的半径。从而找到圆弧所对应的圆心角,由圆心角找出粒子在磁场中的运动时间。由圆心和轨迹用几何知识确定半径是研究带电粒子在匀强磁场中做匀速圆周运动的重要方法。

 

练习册系列答案
相关题目

违法和不良信息举报电话:027-86699610 举报邮箱:58377363@163.com

精英家教网