题目内容
一定质量的理想气体,经过如图所示的由A经B到C的状态变化.设状态A的温度为400K.求:①状态C的温度Tc为多少K?
②如果由A经B到C的状态变化的整个过程中,气体对外做了400J的功,气体的内能增加了20J,则这个过程气体是吸收热量还是放出热量?其数值为多少?
【答案】分析:①直接根据理想气体状态方程列式求解;
②根据热力学第一定律分析即可.
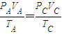
解答:解:①由理想气体状态方程
得TC=320K
②由热力学第一定律公式△U=Q+W,得到
Q=420J>0
气体吸收热量;
答:①状态C的温度Tc为320K;
②气体是吸收热量,其数值为420J.
点评:本题是根据理想气体状态方程和热力学第一定律列式求解,关键是熟悉规律.
②根据热力学第一定律分析即可.
解答:解:①由理想气体状态方程
得TC=320K
②由热力学第一定律公式△U=Q+W,得到
Q=420J>0
气体吸收热量;
答:①状态C的温度Tc为320K;
②气体是吸收热量,其数值为420J.
点评:本题是根据理想气体状态方程和热力学第一定律列式求解,关键是熟悉规律.
练习册系列答案
相关题目
下列说法中不正确的是( )
| A、布朗运动是由液体分子从各个方向对悬浮粒子撞击作用的不平衡引起的 | B、对于一定质量的理想气体,若单位体积内分子个数不变,当分子热运动加剧时,压强一定变大 | C、当两个分子间的距离为r0(平衡位置)时,分子势能最小且一定为零 | D、单晶体和多晶体均存在固定的熔点 |