题目内容

“嫦娥一号”探月卫星在环绕月球的极地轨道上运动,由于月球的自转,因而“嫦娥一号”卫星能探测到整个月球表面。2007年12月11日“嫦娥一号”卫星的CCD相机已对月球背面进行成像探测,并获得了月球背面部分区域的影像图。卫星在绕月极地轨道上做圆周运动时距月球表面高为H,绕行的周期为TM;月球绕地公转的周期为TE,半径为R0;地球半径为RE,月球半径为RM。试解答下列问题:

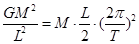
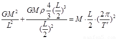
(1)若忽略地球及太阳引力对绕月卫星的影响,试求月球与地球的质量之比。

(2)若当绕月极地轨道的平面与月球绕地公转的轨道平面垂直,也与地心到月心的连线垂直(如图所示)时,探月卫星将向地球发送所拍摄的照片。已知光速为c,则此照片信号由探月卫星传送到地球最短需要多长时间?

 

【答案】

(1)(2)

【解析】

试题分析:⑴ 双星间的万有引力作为双星做圆周运动的向心力

 

⑵暗物质与一个星体对另一个形体的万有引力为该星体的向心力

考点:万有引力定律及其应用;牛顿第二定律;向心力.

点评:本题是计算天体质量问题,利用万有引力与圆周运动知识的结合求解环绕天体的质量,是常用方法之一.

 

练习册系列答案
相关题目

违法和不良信息举报电话:027-86699610 举报邮箱:58377363@163.com

精英家教网