题目内容
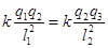
如图所示,q1、q2、q3分别表示在一条直线上的三个点电荷,已知q2为正电荷,q1与q2之间的距离为l1,q2与q3之间的距离为l2,且每个电荷都处于平衡状态.则q1,带_______(填正或负)电,q1、q2、q3三者电量大小之比是_____________.
![]()
【答案】
负 ,![]()
【解析】
试题分析:假设q1带负电,要使q2平衡则q3也应带负电;假设q1带正电,要使q2平衡则q3也应带正电,但是q1、q3不能平衡,所以q1、q3都带负电荷.
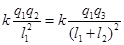
由于三个电荷均处于平衡状态,由库仑定律建立如下平衡式:
对q1:
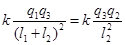
,对q2:
,对q3:![]()
解得:q1:q2:q3=
。
考点:库仑定律,共点力平衡的条件及其应用
练习册系列答案
相关题目
| A、O点电势一定高于N点电势 | B、O点场强一定小于M点场强 | C、将一个负点电荷从M点移到N点,需克服电场力做功 | D、若将一个正点电荷分别放在M、N和O三点,则该点电荷在O点时电势能最大 |
| A、不断增大 | B、不断减小 | C、先减小后增大 | D、先增大后减小 |
| A、EA>EB,φA>φB | B、EA>EB,φA<φB | C、EA>EB,φA=φB | D、EA<EB,φA<φB |