题目内容

有位同学设计了一个实验,用来验证在外力作用下物体做加速运动时,动能的改变量等于合外力所做的功.如图,他使用的实验仪器有.电磁打点计时器、学生电源、长方形木块、纸带、天平(图中未画出)、带定滑轮的木板(长约1米)、细线、砝码盘、砝码等.

该同学操作如下.

(1)用天平测出木块的质量m.把器材按图安装好.纸带固定在木块中间的方孔内.

(2)把木块放在打点计时器附近,用手按住,往砝码盘中加砝码,再放开木块,让它做加速运动.然后接通打点计时器电源,让它工作.当木块到达定滑轮处时,断开电源

(3)取下纸带,并在纸带上做了如下图的标记,然后进行数据处理.

请回答下列问题.

(1)该同学操作过程中有一处明显的不当之处,请更正:________.

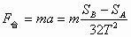
(2)利用测得的木块质量m、交流电源的周期T、纸带上标示的位移SA,SB,SAB.①请你写出木块在加速阶段所受合外力的表达式:________;

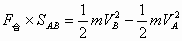
②请写出验证动能定理的方法:________.

(3)在上述试验中,如果对该同学选择的仪器和做法做一些更改,则可以直接将砝码及砝码盘的重力,作为研究对象所受到的合外力.为达到这个目的,你认为应该怎样做________.

答案:
解析:

  (1)应先接通电源,待打点计时器稳定工作后,再放开木块.(2分)

  (2);(2分)

  由

  可知,只要验证.在误差允许范围内是否成立即可.(2分)

  (3)将木块换成带轮小车以减少摩擦;垫起木板一端利用小车的下滑力平衡摩擦力;保证砝码及砝码盘的总质量远小于小车的质量.(2分)


练习册系列答案
相关题目
(1)像打点计时器一样,光电计时器也是一种研究物体运动情况的常见计时仪器,每个光电门都是由激光发射和接收装置组成.当有物体从光电门通过时,光电计时器就可以显示物体的挡光时间.现利用如图1所示装置设计一个“探究物体运动的加速度与合外力、质量关系”的实验,图中NQ是水平桌面、PQ是一端带有滑轮的长木板,1、2是固定在木板上间距为L的两个光电门(与之连接的两个光电计时器没有画出).可以装载钩码的小车上固定着用于挡光的窄片K,让小车从木板的顶端滑下,光电门各自连接的计时器显示窄片K的挡光时间分别为t1和t2

①在某次测量中,用游标卡尺测量窄片K的宽度,游标卡尺如图2所示,则窄片K的宽度d=
8.00×10-3
8.00×10-3
m(已知L>>d),光电门1、2各自连接的计时器显示的挡光时间分别为t1=4.0×10-2s,t2=2.0×10-2s;
②用米尺测量两光电门的间距为L=0.40m,则小车的加速度大小a=
0.15
0.15
 m/s2
③某位同学通过测量,把砂和砂桶的重量当作小车的合外力F,作出a-F图线如图3中的实线所示.为了既能改变拉力F,又保证a-F图象是直线,可以进行这样的操做
将车上钩码取下来挂到小桶上
将车上钩码取下来挂到小桶上

(2)已知一个标有“2.4V、0.06A”电学元件的R-U特性如图4所示.某同学想利用下列可供选择的实验器材,设计一个电路验证该元件的电阻R随电压U变化的图象(图5).

可供选择的器材有:
电流表A1(量程100mA,内阻约2Ω)
电流表A2(量程0.3A,内阻约0.3Ω)
电压表V1(量程1V,内阻500Ω)
电压表V2(量程15V,内阻1kΩ)
定值电阻R1(电阻为1kΩ)
定值电阻R2(电阻为10kΩ)
滑动变阻器R0(0-10Ω,2A)
电池(电动势为3V,内阻很小)
导线若干和开关S一个
①利用实验电路测量时,该同学为了提高准确度,测量了多组数据.他在实验中应选用电流表
A1
A1
,电压表
V1
V1
,定值电阻
R1
R1
(填所选器材的符号).
②在图5方框内画出该同学的实验电路图.
③在实验过程中,元件正常工作时电压表的示数应为
1.08
1.08
V.

违法和不良信息举报电话:027-86699610 举报邮箱:58377363@163.com

精英家教网