题目内容
某宇航员在飞船发射前测得自身连同宇航服等随身装备共重840N,在火箭发射阶段,发现当飞船随火箭以a=g/2的加速度匀加速竖直上升到某位置时(其中g为地球表面处的重力加速度),其身下体重测试仪的示数为1220N.设地球半径R=6400km,地球表面重力加速度g=10m/s2(求解过程中可能用到(1)该位置处的重力加速度g′是地面处重力加速度g的多少倍?
(2)该位置距地球表面的高度h为多大?
【答案】分析:(1)飞船随火箭以a=g/2的加速度匀加速竖直上升时,宇航员处于超重状态,受力分析后利用牛顿第二定律列式求解.
(2)在距离地球某高度时根据万有引力等于重力列式求解高度.
解答:解:(1)对宇航员受力分析如图:

设:该位置处的重力加速度g′,由牛顿第二定律得:

即:
解得:
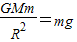
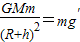
(2)设此处距地面高度为h,地球质量为M,半径为R;
物体在地面时:
物体在高为h处时:
两式联立得:
解得:
答:(1)该位置处的重力加速度g′是地面处重力加速度g的
倍.
(2)该位置距地球表面的高度h为128km.
点评:超失重问题是牛顿运动定律的应用问题,受力分析应用牛顿运动定律即可;在地球附近的物体其受到的重力我们可以近似看做等于万有引力,列式求解需要的物理量即可.
(2)在距离地球某高度时根据万有引力等于重力列式求解高度.
解答:解:(1)对宇航员受力分析如图:
设:该位置处的重力加速度g′,由牛顿第二定律得:
即:
解得:
(2)设此处距地面高度为h,地球质量为M,半径为R;
物体在地面时:
物体在高为h处时:
两式联立得:
解得:
答:(1)该位置处的重力加速度g′是地面处重力加速度g的
(2)该位置距地球表面的高度h为128km.
点评:超失重问题是牛顿运动定律的应用问题,受力分析应用牛顿运动定律即可;在地球附近的物体其受到的重力我们可以近似看做等于万有引力,列式求解需要的物理量即可.
练习册系列答案
相关题目