题目内容

如图所示, 质量为m的物体被用细绳牵引着在光滑水平面上做匀速圆周运动. 当拉力为F时转动半径为R. 当外力增大到8F时, 物体仍做匀速圆周运动, 其转动半径为R/2. 在此过程中外力对物体所做的功为

[  ]

A.F·R  B.F·R

C.F·R  D.4F·R

答案:C
解析:

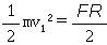
解: F=m   所以 v12=

    EK1=

    8F=

    v22=

    EK2=

    W外=

    答案选C


练习册系列答案
相关题目

违法和不良信息举报电话:027-86699610 举报邮箱:58377363@163.com

精英家教网