题目内容

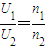
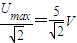
图甲是某燃气炉点火装置的原理图.转换器将直流电压转换为图乙所示的正弦交变电压,并加在一理想变压器的原线圈上,变压器原、副线圈的匝数分别为n1、n2为交流电压表.当变压器副线圈电压的瞬时值大于5000V时,就会在钢针和金属板间引发电火花进而点燃气体.以下判断正确的是( )

A.电压表的示数等于5V
B.电压表的示数等于
C.实现点火的条件是
D.实现点火的条件是
【答案】分析:根据图乙得到原线圈电压的最大值,根据有效值与最大值的关系求出电压表的示数,当变压器副线圈电压的瞬时值大于5000V时,就会点火,根据电压与线圈匝数比的关系即可求解.
解答:解:A、根据图乙得到原线圈电压的最大值为5V,所以电压表的示数为:,故A错误,B正确;
C、根据,且U1=5V,U2≥5000V得:实现点火的条件是,故C正确,D错误.
故选BC
点评:掌握住理想变压器的电压、电流之间的关系,知道电压表的示数为有效值,本题即可得到解决.
练习册系列答案
相关题目

违法和不良信息举报电话:027-86699610 举报邮箱:58377363@163.com

精英家教网