ÌâÄ¿ÄÚÈÝ

(1)ÔÚÓõ¥°Ú²â¶¨ÖØÁ¦¼ÓËٶȵÄʵÑéÖУ¬ÓúÁÃ׿̶ȳ߲âÁ¿°ÚÏߵij¤£¬Çé¿öÈçͼ(A)Ëùʾ£¬ÓÃÓα꿨³ß²âÁ¿°ÚÇòÖ±¾¶£¬¿¨³ßÓαêλÖÃÈçͼ(B)Ëùʾ£¬¿ÉÖª°ÚÇòÖ±¾¶ÊÇ______cm£¬µ¥°Ú°Ú³¤ÊÇ______m£®

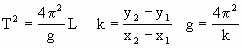
(2)ÀûÓõ¥°ÚÖÜÆÚ¹«Ê½²â¶¨ÖØÁ¦¼ÓËÙ¶Èʱ²â³ö²»Í¬°Ú³¤LʱÏàÓ¦ÖÜÆÚÖµT£¬×ö£­LͼÏߣ¬ÈçͼËùʾ.ÓëLµÄ¹ØÏµÊ½=________£¬ÀûÓÃͼÏßÉÏÈÎÁ½µãA¡¢BµÄ×ø±ê¿ÉÇó³öͼÏßµÄбÂÊk=________£¬ÔÙÓÉk¿ÉÇó³ög=________£®

´ð°¸£º
½âÎö£º

(1)2.00(cm); 1.0000(m)

(2)


Á·Ï°²áϵÁдð°¸
Ïà¹ØÌâÄ¿

(1)ÔÚ¡°Óõ¥°Ú²â¶¨ÖØÁ¦¼ÓËÙ¶È¡±µÄʵÑéÖУ¬¢Ù²â°Ú³¤Ê±£¬ÈôÕýÈ·²â³öÐüÏß³¤lºÍ°ÚÇòÖ±¾¶d£¬Ôò°Ú³¤Îª________£»¢Ú²âÖÜÆÚʱ£¬µ±°ÚÇò¾­¹ý________λÖÃʱ¿ªÊ¼¼ÆÊ±²¢¼ÆÊý1´Î£¬²â³ö¾­¹ý¸ÃλÖÃN´Î(Ô¼60¡«100´Î)µÄʱ¼äΪt£¬ÔòÖÜÆÚΪ________£®

´ËÍ⣬ÇëÄã´ÓÏÂÁÐÆ÷²ÄÖÐÑ¡ÓÃËùÐèÆ÷²Ä£¬ÔÙÉè¼ÆÒ»¸öʵÑ飬´Ö²â³öÖØÁ¦¼ÓËÙ¶Èg£¬²¢²ÎÕÕʾÀýÌîдϱí(ʾÀýµÄ·½·¨²»ÄÜÔÙÓÃ)£®

A£®ÌìÆ½£»B£®¿Ì¶È³ß£»C£®µ¯»É³Ó£»D£®µç´Å´òµã¼ÆÊ±Æ÷£»E£®´ø¼Ð×ÓµÄÖØ´¸£»F£®Ö½´ø£»G£®µ¼ÏßÈô¸É£»H£®Ìú¼Ų̈£»I£®µÍѹ½»Á÷µçÔ´£»J£®µÍѹֱÁ÷µçÔ´£»K£®Ð¡³µ£»L£®ÂÝÐý²â΢Æ÷£»M£®Ð±Ãæ(¸ß¶È¿Éµ÷£¬´Ö²Ú³Ì¶È¾ùÔÈ)£®

(2)ÔÚ¡°²â¶¨½ðÊôµÄµç×èÂÊ¡±ÊµÑéÖУ¬ÐèÒª²â½ðÊôË¿µÄ³¤¶ÈºÍÖ±¾¶£®ÏÖÓÃ×îС·Ö¶ÈΪ1 mmµÄÃ׳߲â½ðÊôË¿³¤¶È£¬Í¼ÖмýÍ·ËùָλÖÃÊÇÀ­Ö±µÄ½ðÊôÁ½¶ËÔÚÃ׳ßÉÏÏà¶ÔÓ¦µÄλÖ㬲âµÃµÄ½ðÊôË¿³¤¶ÈΪ________mm£®ÔÚ²âÁ¿½ðÊô˿ֱ¾¶Ê±£¬Èç¹ûÊÜÌõ¼þÏÞÖÆ£¬Éí±ßÖ»ÓÐÃ׳ß1°ÑºÍÔ²ÖùÐÎǦ±Ê1Ö§£®ÈçºÎ½Ï׼ȷµØ²âÁ¿½ðÊôË¿µÄÖ±¾¶£¿Çë¼òÊö²âÁ¿·½·¨£º________£®

(1)ÔÚ¡°Óõ¥°Ú²â¶¨ÖØÁ¦¼ÓËÙ¶È¡±µÄʵÑéÖУ¬¢Ù²â°Ú³¤Ê±£¬ÈôÕýÈ·²â³öÐüÏß³¤lºÍ°ÚÇòÖ±¾¶d,Ôò°Ú³¤Îª            ;¢Ú²âÖÜÆÚʱ£¬µ±°ÚÇò¾­¹ý            λÖÃʱ¿ªÊ¼¼ÆÊ±²¢¼ÆÊýl´Î£¬²â³ö¾­¹ý¸ÃλÖÃN´Î(Ô¼60¡«100´Î)µÄʱ¼äΪt,ÔòÖÜÆÚΪ            ¡£

´ËÍâ,ÇëÄã´ÓÏÂÁÐÆ÷²ÄÖÐÑ¡ÓÃËùÐèÆ÷²Ä£¬ÔÙÉè¼ÆÒ»¸öʵÑ飬´ÖÂÔ²â³öÖØÁ¦¼ÓËÙ¶Èg£¬²¢²ÎÕÕʾÀýÌîдÏÂ±í£¨Ê¾ÀýµÄ·½·¨²»ÄÜÔÙÓã©¡£

A.ÌìÆ½;B.¿Ì¶È³ß;C.µ¯»É³Ó;D.µç´Å´òµã¼ÆÊ±Æ÷;E.´ø¼Ð×ÓµÄÖØ´¸;

F.Ö½´ø;G.µ¼ÏßÈô¸É;H.Ìú¼Ų̈;I.µÍѹ½»Á÷µçÔ´;J.µÍѹֱÁ÷µçÔ´;

K.С³µ;L.ÂÝÐý²â΢Æ÷;M.Ð±Ãæ£¨¸ß¶È¿Éµ÷£¬´Ö²Ú³Ì¶È¾ùÔÈ£©¡£

ËùÑ¡Æ÷²Ä£¨Ö»ÌîÆ÷²ÄÐòºÅ£©

¼òÊöʵÑé·½·¨£¨²»ÒªÇóд³ö¾ßÌå²½Ö裩

ʾÀý

B¡¢D¡¢E¡¢F¡¢G¡¢H¡¢I

°²×°ÒÇÆ÷£¬½ÓͨµçÔ´£¬ÈÃÖ½´øËæÖØ´¸ÊúÖ±ÏÂÂä¡£Óÿ̶ȳ߲â³öËùÐèÊý¾Ý£¬´¦ÀíÊý¾Ý£¬µÃ³ö½á¹û¡£

ʵÑéÉè¼Æ

(2)ÔÚ¡°²â¶¨½ðÊôµÄµç×èÂÊ¡±ÊµÑéÖУ¬ÐèÒª²âÁ¿½ðÊôË¿µÄ³¤¶ÈºÍÖ±¾¶¡£ÏÖÓÃ×îС·Ö¶ÈΪ1 mmµÄÃ׳߲âÁ¿½ðÊôË¿³¤¶È£¬Í¼ÖмýÍ·ËùָλÖÃÊÇÀ­Ö±µÄ½ðÊôË¿Á½¶ËÔÚÃ׳ßÉÏÏà¶ÔÓ¦µÄλÖ㬲âµÃµÄ½ðÊôË¿³¤¶ÈΪ          mm¡£ÔÚ²âÁ¿½ðÊô˿ֱ¾¶Ê±£¬Èç¹ûÊÜÌõ¼þÏÞÖÆ£¬Éí±ßÖ»ÓÐÃ׳ß1°ÑºÍÔ²ÖùÐÎǦ±Ê1Ö§¡£ÈçºÎ½Ï׼ȷµØ²âÁ¿½ðÊôË¿µÄÖ±¾¶£¿Çë¼òÊö²âÁ¿·½·¨£º

                                                                               

(1)ÔÚ¡°Óõ¥°Ú²â¶¨ÖØÁ¦¼ÓËÙ¶È¡±µÄʵÑéÖУ¬¢Ù²â°Ú³¤Ê±£¬ÈôÕýÈ·²â³öÐüÏß³¤lºÍ°ÚÇòÖ±¾¶d,Ôò°Ú³¤Îª            ;¢Ú²âÖÜÆÚʱ£¬µ±°ÚÇò¾­¹ý            λÖÃʱ¿ªÊ¼¼ÆÊ±²¢¼ÆÊýl´Î£¬²â³ö¾­¹ý¸ÃλÖÃN´Î(Ô¼60¡«100´Î)µÄʱ¼äΪt,ÔòÖÜÆÚΪ            ¡£

´ËÍâ,ÇëÄã´ÓÏÂÁÐÆ÷²ÄÖÐÑ¡ÓÃËùÐèÆ÷²Ä£¬ÔÙÉè¼ÆÒ»¸öʵÑ飬´ÖÂÔ²â³öÖØÁ¦¼ÓËÙ¶Èg£¬²¢²ÎÕÕʾÀýÌîдÏÂ±í£¨Ê¾ÀýµÄ·½·¨²»ÄÜÔÙÓã©¡£

A.ÌìÆ½;B.¿Ì¶È³ß;C.µ¯»É³Ó;D.µç´Å´òµã¼ÆÊ±Æ÷;E.´ø¼Ð×ÓµÄÖØ´¸;

F.Ö½´ø;G.µ¼ÏßÈô¸É;H.Ìú¼Ų̈;I.µÍѹ½»Á÷µçÔ´;J.µÍѹֱÁ÷µçÔ´;

K.С³µ;L.ÂÝÐý²â΢Æ÷;M.Ð±Ãæ£¨¸ß¶È¿Éµ÷£¬´Ö²Ú³Ì¶È¾ùÔÈ£©¡£

ËùÑ¡Æ÷²Ä£¨Ö»ÌîÆ÷²ÄÐòºÅ£©

¼òÊöʵÑé·½·¨£¨²»ÒªÇóд³ö¾ßÌå²½Ö裩

ʾÀý

B¡¢D¡¢E¡¢F¡¢G¡¢H¡¢I

°²×°ÒÇÆ÷£¬½ÓͨµçÔ´£¬ÈÃÖ½´øËæÖØ´¸ÊúÖ±ÏÂÂä¡£Óÿ̶ȳ߲â³öËùÐèÊý¾Ý£¬´¦ÀíÊý¾Ý£¬µÃ³ö½á¹û¡£

ʵÑéÉè¼Æ

(2)ÔÚ¡°²â¶¨½ðÊôµÄµç×èÂÊ¡±ÊµÑéÖУ¬ÐèÒª²âÁ¿½ðÊôË¿µÄ³¤¶ÈºÍÖ±¾¶¡£ÏÖÓÃ×îС·Ö¶ÈΪ1mmµÄÃ׳߲âÁ¿½ðÊôË¿³¤¶È£¬Í¼ÖмýÍ·ËùָλÖÃÊÇÀ­Ö±µÄ½ðÊôË¿Á½¶ËÔÚÃ׳ßÉÏÏà¶ÔÓ¦µÄλÖ㬲âµÃµÄ½ðÊôË¿³¤¶ÈΪ          mm¡£ÔÚ²âÁ¿½ðÊô˿ֱ¾¶Ê±£¬Èç¹ûÊÜÌõ¼þÏÞÖÆ£¬Éí±ßÖ»ÓÐÃ׳ß1°ÑºÍÔ²ÖùÐÎǦ±Ê1Ö§¡£ÈçºÎ½Ï׼ȷµØ²âÁ¿½ðÊôË¿µÄÖ±¾¶£¿Çë¼òÊö²âÁ¿·½·¨£º

                                                                               

06£¨ËÄ´¨¾í£©23.(17·Ö)

(1)ÔÚ¡°Óõ¥°Ú²â¶¨ÖØÁ¦¼ÓËÙ¶È¡±µÄʵÑéÖУ¬¢Ù²â°Ú³¤Ê±£¬ÈôÕýÈ·²â³öÐüÏß³¤lºÍ°ÚÇòÖ±¾¶d,Ôò°Ú³¤Îª            ;¢Ú²âÖÜÆÚʱ£¬µ±°ÚÇò¾­¹ý            λÖÃʱ¿ªÊ¼¼ÆÊ±²¢¼ÆÊýl´Î£¬²â³ö¾­¹ý¸ÃλÖÃN´Î(Ô¼60~100´Î)µÄʱ¼äΪt,ÔòÖÜÆÚΪ            ¡£

´ËÍâ,ÇëÄã´ÓÏÂÁÐÆ÷²ÄÖÐÑ¡ÓÃËùÐèÆ÷²Ä£¬ÔÙÉè¼ÆÒ»¸öʵÑ飬´ÖÂÔ²â³öÖØÁ¦¼ÓËÙ¶Èg£¬²¢²ÎÕÕʾÀýÌîдÏÂ±í£¨Ê¾ÀýµÄ·½·¨²»ÄÜÔÙÓã©¡£

A.ÌìÆ½;B.¿Ì¶È³ß;C.µ¯»É³Ó;D.µç´Å´òµã¼ÆÊ±Æ÷;E.´ø¼Ð×ÓµÄÖØ´¸;

F.Ö½´ø;G.µ¼ÏßÈô¸É;H.Ìú¼Ų̈;I.µÍѹ½»Á÷µçÔ´;J.µÍѹֱÁ÷µçÔ´;

K.С³µ;L.ÂÝÐý²â΢Æ÷;M.Ð±Ãæ£¨¸ß¶È¿Éµ÷£¬´Ö²Ú³Ì¶È¾ùÔÈ£©¡£

ËùÑ¡Æ÷²Ä£¨Ö»ÌîÆ÷²ÄÐòºÅ£©

¼òÊöʵÑé·½·¨£¨²»ÒªÇóд³ö¾ßÌå²½Ö裩

ʾÀý

B¡¢D¡¢E¡¢F¡¢G¡¢H¡¢I

°²×°ÒÇÆ÷£¬½ÓͨµçÔ´£¬ÈÃÖ½´øËæÖØ´¸ÊúÖ±ÏÂÂä¡£Óÿ̶ȳ߲â³öËùÐèÊý¾Ý£¬´¦ÀíÊý¾Ý£¬µÃ³ö½á¹û¡£

ʵÑéÉè¼Æ

(2)ÔÚ¡°²â¶¨½ðÊôµÄµç×èÂÊ¡±ÊµÑéÖУ¬ÐèÒª²âÁ¿½ðÊôË¿µÄ³¤¶ÈºÍÖ±¾¶¡£ÏÖÓÃ×îС·Ö¶ÈΪ1 mmµÄÃ׳߲âÁ¿½ðÊôË¿³¤¶È£¬Í¼ÖмýÍ·ËùָλÖÃÊÇÀ­Ö±µÄ½ðÊôË¿Á½¶ËÔÚÃ׳ßÉÏÏà¶ÔÓ¦µÄλÖ㬲âµÃµÄ½ðÊôË¿³¤¶ÈΪ          mm¡£ÔÚ²âÁ¿½ðÊô˿ֱ¾¶Ê±£¬Èç¹ûÊÜÌõ¼þÏÞÖÆ£¬Éí±ßÖ»ÓÐÃ׳ß1°ÑºÍÔ²ÖùÐÎǦ±Ê1Ö§¡£ÈçºÎ½Ï׼ȷµØ²âÁ¿½ðÊôË¿µÄÖ±¾¶£¿Çë¼òÊö²âÁ¿·½·¨£º

                                                                               

Î¥·¨ºÍ²»Á¼ÐÅÏ¢¾Ù±¨µç»°£º027-86699610 ¾Ù±¨ÓÊÏ䣺58377363@163.com

¾«Ó¢¼Ò½ÌÍø