题目内容

如图所示,在直角坐标系的第一、二象限内有垂直于纸面的匀强磁场,第三象限有沿y轴负方向的匀强电场;第四象限无电场和磁场。现有一质量为m、电荷量为q的粒子以速度v0从y轴上的M点沿x轴负方向进入电场,不计粒子的重力,粒子经x轴上的N点和P点最后又回到M点,设OM=L,ON=2L。求:

(1)电场强度E的大小;

(2)匀强磁场的磁感应强度的大小和方向;

(3)粒子从M点进入电场经N、P点最后又回到M点所用的时间。

 

【答案】

(1);(2),方向垂直纸面向里;(3)

【解析】

试题分析:(1)粒子从M至N运动过程为类平抛运动,设运动时间为t1,根据运动的分解有:

x方向:     (1分)

y方向:     (1分)

         (1分)

联立得:          (1分)

(2)设粒子在N点时的速度vN与X轴成θ角,则

  

得                 (1分)

如图由几何关系得                (1分)

由牛顿第二定律有: (1分)

所以,方向垂直纸面向里。(2分)

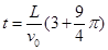
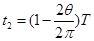
(3)粒子从M至N为类平抛运动,时间为t1;在磁场中做匀速圆周运动,时间为t2;从P至M做匀速直线运动,时间为t3。则有:

        (1分)

     (1分)

        (1分)  

  (1分)  

联立解得:        (1分)

考点:带电粒子在匀强磁场中的运动

 

练习册系列答案
相关题目

违法和不良信息举报电话:027-86699610 举报邮箱:58377363@163.com

精英家教网