题目内容
【答案】分析:粒子先加速再偏转,由题意可知当电子恰好飞出时,所加电场最大;由运动的合成与分解关系可得出电压值.
解答:解:在加速电压一定时,偏转电压U'越大,电子在极板间的偏转距离就越大,当偏转电压大到使电子刚好擦着极板的边缘飞出,此时的偏转电压,即为题目要求的最大电压.
加速过程,由动能定理得:
.①
进入偏转电场,电子在平行于板面的方向上做匀速运动:l=υt.②
,③
偏转距离:
,④
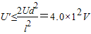
能飞出的条件为:
.⑤
解①②③④⑤式得:
.
答:两个极板上最多能加多大电压为4.0×102V.
点评:本题考查带电粒子在电场中的偏转,在列式计算时应注意不要提前代入数值,应将公式简化后再计算,这样可以减少计算量.
解答:解:在加速电压一定时,偏转电压U'越大,电子在极板间的偏转距离就越大,当偏转电压大到使电子刚好擦着极板的边缘飞出,此时的偏转电压,即为题目要求的最大电压.
加速过程,由动能定理得:
进入偏转电场,电子在平行于板面的方向上做匀速运动:l=υt.②
偏转距离:
能飞出的条件为:
解①②③④⑤式得:
答:两个极板上最多能加多大电压为4.0×102V.
点评:本题考查带电粒子在电场中的偏转,在列式计算时应注意不要提前代入数值,应将公式简化后再计算,这样可以减少计算量.
练习册系列答案
相关题目