ÌâÄ¿ÄÚÈÝ
Æû³µ¸øÈËÀàÉú»î´øÀ´¼«´ó±ãÀû£¬µ«Ëæ×ųµÁ¾µÄÔö¶à£¬½»Í¨Ê¹ÊÒ²ÏàÓ¦Ôö¼Ó£¬ÖØÊÓ½»Í¨°²È«ÎÊÌ⣬¹ØÏµµ½Ç§°ÙÍòÈ˵ÄÉúÃü°²È«Óë¼ÒÍ¥ÐÒ¸££¬ÎªÁ˰²È«£¬ÔÚÐÐʻ;ÖУ¬³µÓë³µÖ®¼ä±ØÐë±£³ÖÒ»¶¨µÄ¾àÀ룬ÒòΪ£¬´Ó¼ÝʻԱ¿´¼ûijһÇé¿öµ½²ÉÈ¡ÖÆ¶¯¶¯×÷µÄʱ¼äÀÆû³µÈÔȻҪͨ¹ýÒ»¶Î¾àÀ루³ÆÎªË¼¿¼¾àÀ룩£¬¶ø´Ó²ÉÈ¡ÖÆ¶¯¶¯×÷µ½³µÍêÈ«¾²Ö¹µÄʱ¼äÀÆû³µÓÖҪͨ¹ýÒ»¶Î¾àÀ루³ÆÎªÖƶ¯¾àÀ룩£¬ÏÂ±í¸ø³öÁ˼ÝʻԱ¼ÝÊ»µÄÆû³µÔÚ²»Í¬ËÙ¶ÈϵÄ˼¿¼¾àÀëºÍÖÆ¶¯¾àÀëµÈ²¿·ÖÊý¾Ý£¬Ä³Í¬Ñ§·ÖÎöÕâЩÊý¾Ý£¬Ëã³öÁ˱í¸ñÖÐδ¸ø³öµÄÊý¾ÝX¡¢Y£¬¸Ãͬѧ¼ÆËãÕýÈ·µÄÊÇ£¨ £©| ËÙ¶È/ | ˼¿¼¾àÀë/m | ÖÆ¶¯¾àÀë/m |
| 10 | 12 | 20 |
| 15 | 18 | X |
| 20 | Y | 80 |
| 25 | 30 | 125 |
A£®X=40£¬Y=24
B£®X=45£¬Y=24
C£®X=60£¬Y=22
D£®X=50£¬Y=22
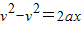
¡¾´ð°¸¡¿·ÖÎö£ºÆû³µÔÚ˼¿¼¾àÀëÖÐ×öÔÈËÙÖ±ÏßÔ˶¯£¬ÔÚÖÆ¶¯¾àÀëÖÐ×öÔȼõËÙÖ±ÏßÔ˶¯£®¸ù¾Ý˼¿¼µÄ¾àÀëºÍËÙ¶È¿ÉÒÔÇó³ö˼¿¼µÄʱ¼ä£®¸ù¾Ý³õÄ©ËٶȺÍÎ»ÒÆ¿ÉÒÔÇó³öÔȼõËÙÖ±ÏßÔ˶¯µÄ¼ÓËÙ¶È£®
½â´ð£º½â£º´Ó±íÖÐÊý¾Ý¿ÉÖª£¬ÔÚ˼¿¼¾àÀëÄÚ×öÔÈËÙÖ±ÏßÔ˶¯£¬Çó³ö˼¿¼µÄʱ¼ä
£®µ±ËÙ¶ÈΪ20m/sʱ£¬Ë¼¿¼µÄ¾àÀëx¡ä=20×1.2m=24m£®
¸ù¾Ý
£¬µÃ
£®µ±³õËÙ¶ÈΪ15m/sʱ£¬Öƶ¯¾àÀë
£®¹Ê±í¸ñÖеÄX=45£¬Y=24£®¹ÊBÕýÈ·£¬A¡¢C¡¢D´íÎó£®
¹ÊÑ¡B£®
µãÆÀ£º½â¾ö±¾ÌâµÄ¹Ø¼üÖªµÀÆû³µÔÚ˼¿¼¾àÀëÖÐ×öÔÈËÙÖ±ÏßÔ˶¯£¬ÔÚÖÆ¶¯¾àÀëÖÐ×öÔȼõËÙÖ±ÏßÔ˶¯£®ÒÔ¼°ÕÆÎÕÔȱäËÙÖ±ÏßÔ˶¯µÄËÙ¶ÈÎ»ÒÆ¹«Ê½
£®
½â´ð£º½â£º´Ó±íÖÐÊý¾Ý¿ÉÖª£¬ÔÚ˼¿¼¾àÀëÄÚ×öÔÈËÙÖ±ÏßÔ˶¯£¬Çó³ö˼¿¼µÄʱ¼ä
¸ù¾Ý
¹ÊÑ¡B£®
µãÆÀ£º½â¾ö±¾ÌâµÄ¹Ø¼üÖªµÀÆû³µÔÚ˼¿¼¾àÀëÖÐ×öÔÈËÙÖ±ÏßÔ˶¯£¬ÔÚÖÆ¶¯¾àÀëÖÐ×öÔȼõËÙÖ±ÏßÔ˶¯£®ÒÔ¼°ÕÆÎÕÔȱäËÙÖ±ÏßÔ˶¯µÄËÙ¶ÈÎ»ÒÆ¹«Ê½
Á·Ï°²áϵÁдð°¸
Ïà¹ØÌâÄ¿
Æû³µ¸øÈËÀàÉú»î´øÀ´¼«´ó±ãÀû£¬µ«Ëæ×ųµÁ¾µÄÔö¶à£¬½»Í¨Ê¹ÊÒ²ÏàÓ¦Ôö¼Ó£¬ÖØÊÓ½»Í¨°²È«ÎÊÌ⣬¹ØÏµµ½Ç§°ÙÍòÈ˵ÄÉúÃü°²È«Óë¼ÒÍ¥ÐÒ¸££¬ÎªÁ˰²È«£¬ÔÚÐÐʻ;ÖУ¬³µÓë³µÖ®¼ä±ØÐë±£³ÖÒ»¶¨µÄ¾àÀ룬ÒòΪ£¬´Ó¼ÝʻԱ¿´¼ûijһÇé¿öµ½²ÉÈ¡ÖÆ¶¯¶¯×÷µÄʱ¼äÀÆû³µÈÔȻҪͨ¹ýÒ»¶Î¾àÀ루³ÆÎªË¼¿¼¾àÀ룩£¬¶ø´Ó²ÉÈ¡ÖÆ¶¯¶¯×÷µ½³µÍêÈ«¾²Ö¹µÄʱ¼äÀÆû³µÓÖҪͨ¹ýÒ»¶Î¾àÀ루³ÆÎªÖƶ¯¾àÀ룩£¬ÏÂ±í¸ø³öÁ˼ÝʻԱ¼ÝÊ»µÄÆû³µÔÚ²»Í¬ËÙ¶ÈϵÄ˼¿¼¾àÀëºÍÖÆ¶¯¾àÀëµÈ²¿·ÖÊý¾Ý£¬Ä³Í¬Ñ§·ÖÎöÕâЩÊý¾Ý£¬Ëã³öÁ˱í¸ñÖÐδ¸ø³öµÄÊý¾ÝX¡¢Y£¬¸Ãͬѧ¼ÆËãÕýÈ·µÄÊÇ£¨¡¡¡¡£©
|
Æû³µ¸øÈËÀàÉú»î´øÀ´¼«´ó±ãÀû£¬µ«Ëæ×ųµÁ¾µÄÔö¶à£¬½»Í¨Ê¹ÊÒ²ÏàÓ¦Ôö¼Ó£¬ÖØÊÓ½»Í¨°²È«ÎÊÌ⣬¹ØÏµµ½Ç§°ÙÍòÈ˵ÄÉúÃü°²È«Óë¼ÒÍ¥ÐÒ¸££¬ÎªÁ˰²È«£¬ÔÚÐÐʻ;ÖУ¬³µÓë³µÖ®¼ä±ØÐë±£³ÖÒ»¶¨µÄ¾àÀ룬ÒòΪ£¬´Ó¼ÝʻԱ¿´¼ûijһÇé¿öµ½²ÉÈ¡ÖÆ¶¯¶¯×÷µÄʱ¼äÀÆû³µÈÔȻҪͨ¹ýÒ»¶Î¾àÀ루³ÆÎªË¼¿¼¾àÀ룩£¬¶ø´Ó²ÉÈ¡ÖÆ¶¯¶¯×÷µ½³µÍêÈ«¾²Ö¹µÄʱ¼äÀÆû³µÓÖҪͨ¹ýÒ»¶Î¾àÀ루³ÆÎªÖƶ¯¾àÀ룩£¬ÏÂ±í¸ø³öÁ˼ÝʻԱ¼ÝÊ»µÄÆû³µÔÚ²»Í¬ËÙ¶ÈϵÄ˼¿¼¾àÀëºÍÖÆ¶¯¾àÀëµÈ²¿·ÖÊý¾Ý£¬Ä³Í¬Ñ§·ÖÎöÕâЩÊý¾Ý£¬Ëã³öÁ˱í¸ñÖÐδ¸ø³öµÄÊý¾ÝX¡¢Y£¬Z£¬¸Ãͬѧ¼ÆËãÕýÈ·µÄÊÇ£¨¡¡¡¡£©
|
Æû³µ¸øÈËÀàÉú»î´øÀ´¼«´ó±ãÀû£¬µ«Ëæ×ųµÁ¾µÄÔö¶à£¬½»Í¨Ê¹ÊÒ²ÏàÓ¦Ôö¼Ó¡£ÖØÊÓ½»Í¨°²È«ÎÊÌ⣬¹ØÏµµ½Ç§°ÙÍòÈ˵ÄÉúÃü°²È«Óë¼ÒÍ¥ÐÒ¸£¡£ÎªÁ˰²È«£¬ÔÚÐÐʻ;ÖУ¬³µÓë³µÖ®¼ä±ØÐë±£³ÖÒ»¶¨µÄ¾àÀë¡£ÒòΪ£¬´Ó¼ÝʻԱ¿´¼ûijһÇé¿öµ½²ÉÈ¡ÖÆ¶¯¶¯×÷µÄʱ¼äÀÆû³µÈÔȻҪͨ¹ýÒ»¶Î¾àÀ루³ÆÎªË¼¿¼¾àÀ룩£»¶ø´Ó²ÉÈ¡ÖÆ¶¯¶¯×÷µ½³µÍêȫֹͣµÄʱ¼äÀÆû³µÓÖҪͨ¹ýÒ»¶Î¾àÀ루³ÆÎªÖƶ¯¾àÀ룩¡£ÓÒ±í¸ø³öÁËÆû³µÔÚ²»Í¬ËÙ¶ÈϵÄ˼¿¼¾àÀëºÍÖÆ¶¯¾àÀëµÈ²¿·ÖÊý¾Ý¡£
ijͬѧ·ÖÎöÕâЩÊý¾Ý£¬Ëã³öÁ˱í¸ñÖÐδ¸ø³öµÄÊý¾ÝX¡¢YºÍZ£¬¸Ãͬѧ¼ÆËãÕýÈ·µÄÊÇ£¨ £©
A£®X£½53£¬Y£½21£¬Z£½46 B£®X£½50£¬Y£½21£¬Z£½52
C£®X£½53£¬Y£½18£¬Z£½55 D£®X£½50£¬Y£½21£¬Z£½46
| ËÙ¶È£¨km/h£© | ˼¿¼¾àÀ루m£© | ÖÆ¶¯¾àÀ루m£© | Í£³µ¾àÀ루m£© |
| 45 | 9 | 14 | 23 |
| 75 | 15 | 38 | X |
| 90 | Y | Z | 73 |
| 105 | 21 | 75 | 96 |
A£®X£½53£¬Y£½21£¬Z£½46 B£®X£½50£¬Y£½21£¬Z£½52
C£®X£½53£¬Y£½18£¬Z£½55 D£®X£½50£¬Y£½21£¬Z£½46