题目内容
在真空中的光滑水平绝缘面上有一带电小滑块.开始时滑块静止.若在滑块所在空间加一水平匀强电场E1,持续一段时间后立刻换成与E1相反方向的匀强电场E2.当电场E2与电场E1持续时间相同时,滑块恰好回到初始位置,且具有动能Ek.在上述过程中,E1对滑块的电场力做功为W1,冲量大小为I1;E2对滑块的电场力做功为W2,冲量大小为I2.则( )A.I1=I2
B.4I1=I2
C.W1=0.25Ek,W2=0.75Ek
D.W1=0.20Ek,W2=0.80Ek
【答案】分析:要注意题中的条件,两个过程经过相同的时间,发生的位移大小相等,方向相反.
根据匀变速直线运动规律求出两个过程末速度大小关系.
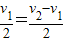
解答:解:设第一过程末速度为v1,第二过程末速度大小为v2.根据上面的分析知两过程的平均速度大小相等.
根据匀变速直线运动规律有
,所以有v2=2v1.
根据动能定理有:W1=
mv12,
W2=
mv22-mv12,
而Ek=
mv22
所以W1=0.25Ek,W1=0.75Ek
又因为位移大小相等,所以两个过程中电场力的大小之比为1:3,
根据冲量定义得:I1=F1t,I2=F2t
所以I2=3I1
故A、B、D错误,C正确.
故选C.
点评:要通过题意中找出有用的物理信息,运用物理规律找出已知量和未知量之间的关系.
根据匀变速直线运动规律求出两个过程末速度大小关系.
解答:解:设第一过程末速度为v1,第二过程末速度大小为v2.根据上面的分析知两过程的平均速度大小相等.
根据匀变速直线运动规律有
根据动能定理有:W1=
W2=
而Ek=
所以W1=0.25Ek,W1=0.75Ek
又因为位移大小相等,所以两个过程中电场力的大小之比为1:3,
根据冲量定义得:I1=F1t,I2=F2t
所以I2=3I1
故A、B、D错误,C正确.
故选C.
点评:要通过题意中找出有用的物理信息,运用物理规律找出已知量和未知量之间的关系.
练习册系列答案
相关题目