ÌâÄ¿ÄÚÈÝ

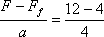
ÎïÌå¾²Ö¹ÔÚÒ»Ë®Æ½ÃæÉÏ£¬ËüµÄÖÊÁ¿ÊÇm£¬ÓëË®Æ½ÃæÖ®¼äµÄ¶¯Ä¦²ÁÒòÊýΪ¦Ì£®Éè×î´ó¾²Ä¦²ÁÁ¦µÈÓÚ»¬¶¯Ä¦²ÁÁ¦£®ÏÖÓÃÆ½ÐÐÓÚË®Æ½ÃæµÄÁ¦FÀ­ÎïÌ壬µÃµ½¼ÓËÙ¶ÈaºÍÀ­Á¦FµÄ¹ØÏµÍ¼ÏóÈçͼËùʾ£®

(1)¸ù¾ÝͼÏó¿ÉÒÔÇó³öÎïÌåµÄÖÊÁ¿m£®ÍõÃôͬѧ·ÖÎöµÄ¹ý³ÌÊÇ£º´ÓͼÏóÖеõ½F£½12 Nʱ£¬ÎïÌåµÄ¼ÓËÙ¶Èa£½4 m/s2£¬¸ù¾ÝÅ£¶ÙµÚ¶þ¶¨ÂÉF£½ma£¬ÇóµÃÖÊÁ¿m£½ kg£½3 kg£®ÇëÅжÏÍõÃôͬѧµÄ·ÖÎö¹ý³ÌÊÇ·ñÕýÈ·£¬²¢·ÖÎöÔ­Òò£¬×îºóÓ¦¸ø³öÕýÈ·µÄ½á¹û£®

(2)¸ù¾ÝͼÏó¼ÆËãÎïÌåÓëË®Æ½ÃæÖ®¼ä¶¯Ä¦²ÁÒòÊý¦ÌµÄÊýÖµ£®(È¡g£½10 m/s2)

´ð°¸£º
½âÎö£º

¡¡¡¡´ð°¸£º(1)²»ÕýÈ·¡¡2 kg¡¡(2)0.2

¡¡¡¡½âÎö£º(1)ÍõÃôͬѧµÄ·ÖÎöºÍ½â´ðÊÇ´íµÄ£¬ÍõÃô´íÔÚ°ÑˮƽÁ¦Fµ±×÷ºÏÍâÁ¦£®

¡¡¡¡ÕýÈ·µÄÇó½â¹ý³ÌÊÇ£ºÓÉͼÏó¿ÉÖª£¬Îï¿éÔÚˮƽ·½ÏòÊÜÀ­Á¦F£½12 NʱµÄ¼ÓËÙ¶Èa£½4 m/s2£¬¼ÓËÙ¶ÈΪÁãʱµÄÀ­Á¦£½4 N£¬¹ÊĦ²ÁÁ¦µÄ´óСFf£½£½4 N

¡¡¡¡ÓÉÅ£¶ÙµÚ¶þ¶¨ÂÉF£­Ff£½ma£¬m£½kg£½2 kg£®

¡¡¡¡(2)ÒòΪFf£½¦Ìmg£½4 N£¬¦Ì£½£½0.2£®


Á·Ï°²áϵÁдð°¸
Ïà¹ØÌâÄ¿

Î¥·¨ºÍ²»Á¼ÐÅÏ¢¾Ù±¨µç»°£º027-86699610 ¾Ù±¨ÓÊÏ䣺58377363@163.com

¾«Ó¢¼Ò½ÌÍø