题目内容
酒后驾驶会导致许多安全隐患,是因为驾驶员的反应时间变长,反应时间是指驾驶员从发现情况到采取制动的时间.下表中“思考距离”是指驾驶员从发现情况到采取制动的时间内汽车行驶的距离,“制动距离”是指驾驶员从发现情况到汽车停止行驶的距离(假设汽车制动时的加速度大小都相同).分析上表可知,下列说法正确的是( )| 速度(m/s) | 思考距离/m | 制动距离/m | ||
| 正常 | 酒后 | 正常 | 酒后 | |
| 15 | 7.5 | 15.0 | 22.5 | 30.0 |
| 20 | 10.0 | 20.0 | 36.7 | 46.7 |
| 25 | 12.5 | 25.0 | 54.2 | x |
A.驾驶员酒后反应时间比正常情况下多0.5s
B.若汽车以20m/s的速度行驶时,发现前方40m处有险情,酒后驾驶不能安全停车
C.汽车制动时,加速度大小为10m/s2
D.表中x为66.7
【答案】分析:在“思考距离”内汽车做匀速直线运动,由“思考距离”与速度之比求出反应时间,再进行比较.根据图中数据分析酒后驾驶能否安全停车.汽车制动时做匀减速直线运动,根据制动距离、初速度和末速度求出加速度.由速度位移关系求出x.
解答:解:
A、取速度为20m/s这一排数据研究:驾驶员酒后反应时间为t1=
=
,正常情况应时间为t2=
=
.其他情况结果相同.所以驾驶员酒后反应时间比正常情况下多0.5s.故A正确.
B、若汽车以20m/s的速度行驶时,发现前方40m处有险情,制动距离为46.7m,大于40m,说明酒后驾驶不能安全停车.故B正确.
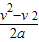
C、汽车制动时做匀减速直线运动,第一组数据:初速度v=15m/s,末速度v=0,位移x=22.5m-7.5m=15m
由
得,a=
=-7.5m/s2故C错误.
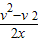
D、当v=25m/s,制动距离为x=
+25m≈66.7m.故D正确
故选ABD
点评:本题首先要有读题能力,读懂题意是解题的关键.其次要合理选择数据处理.考查理论联系实际的能力.
解答:解:
A、取速度为20m/s这一排数据研究:驾驶员酒后反应时间为t1=
B、若汽车以20m/s的速度行驶时,发现前方40m处有险情,制动距离为46.7m,大于40m,说明酒后驾驶不能安全停车.故B正确.
C、汽车制动时做匀减速直线运动,第一组数据:初速度v=15m/s,末速度v=0,位移x=22.5m-7.5m=15m
由
D、当v=25m/s,制动距离为x=
故选ABD
点评:本题首先要有读题能力,读懂题意是解题的关键.其次要合理选择数据处理.考查理论联系实际的能力.
练习册系列答案
相关题目
(2013?长沙一模)酒后驾驶会导致许多安全隐患,是因为驾驶员的反应时间变长,反应时间是指驾驶员从发现情况到采取制动的时间.下表中“思考距离”是指驾驶员从发现情况到采取制动的时间内汽车行驶的距离,“制动距离”是指驾驶员从发现情况到汽车停止行驶的距离(假设汽车制动时的加速度大小都相同).
| ||||||||||||||||||||||||
酒后驾驶会导致许多安全隐患,是因为驾驶员的反应时间变长.反应时间是指驾驶员从发现情况到采取制动的时间.下表中“思考距离”是指驾驶员发现情况到采取制动的时间内汽车行驶的距离;“制动距离”是指驾驶员发现情况到汽车停止行驶的距离(假设汽车制动时的加速度大小都相同).
| ||||||||||||||||||||||||
酒后驾驶会导致许多安全隐患,是因为驾驶员的反应时间变长,反应时间是指驾驶员从发现情况到采取制动的时间.下表中“思考距离”是指驾驶员从发现情况到采取制动的时间内汽车行驶的距离,“制动距离”是指驾驶员从发现情况到汽车停止行驶的距离(假设汽车制动时的加速度大小都相同).分析上表可知,下列说法正确的是( )
| ||||||||||||||||||||||||