题目内容

如图甲所示,长、宽分别为L1、L2的矩形金属线框位于竖直平面内,其匝数为n,总电阻为r,可绕其竖直中心轴O1O2转动。线框的两个末端分别与两个彼此绝缘的铜环C、D(集流环)焊接在一起,并通过电刷和定值电阻R相连。线框所在空间有水平向右均匀分布的磁场,磁感应强度B的大小随时间t的变化关系如图乙所示,其中B0、B1和t1均为已知。在0~t1的时间内,线框保持静止,且线框平面和磁场垂直;t1时刻后线框在外力的驱动下开始绕其竖直中心轴以角速度ω匀速转动,求:

(1)0~t1时间内通过电阻R的电流大小;

(2)线框匀速转动后,在转动一周的过程中电流通过电阻R产生的热量;

(3)线框匀速转动后,从图甲所示位置转过90°的过程中,通过电阻R的电荷量。

 

【答案】

(1)(2)(3)

【解析】

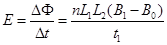
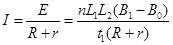
试题分析:(1)0~t1时间内,线框中的感应电动势为:

根据闭合电路欧姆定律可知,通过电阻R的电流为:

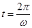
(2)线框产生感应电动势的最大值:,感应电动势的有效值,通过电阻R的电流的有效值,线框转动一周所需的时间,此过程中,电阻R产生的热量:

(3)线框从图甲所示位置转过90°的过程中,平均感应电动势

平均感应电流:

通过电阻R的电荷量:

考点:法拉第电磁感应定律及交流电的最大值、有效值、平均值等。

 

练习册系列答案
相关题目

违法和不良信息举报电话:027-86699610 举报邮箱:58377363@163.com

精英家教网