题目内容
物体做匀变速直线运动,第2s内的平均速度为7m/s,第3s的平均速度为5m/s,物体运动的加速度大小为 m/s2,其方向与初速度的方向 ;(填“相同”或“相反”)
【答案】分析:根据匀变速直线运动的推论知,某段时间内的平均速度等于中间时刻的瞬时速度,根据两个时刻的瞬时速度,通过a=
求出运动的加速度.
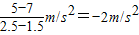
解答:解:第2s内的平均速度为7m/s,知1.5s末的瞬时速度为7m/s,第3s的平均速度为5m/s,知2.5s末的瞬时速度为5m/s,根据a=
=
,方向与初速度方向相反.
故本题答案为:2,相反.
点评:解决本题的关键掌握匀变速直线运动的推论,某段时间内的平均速度等于中间时刻的瞬时速度,以及掌握加速度的定义式a=
.
解答:解:第2s内的平均速度为7m/s,知1.5s末的瞬时速度为7m/s,第3s的平均速度为5m/s,知2.5s末的瞬时速度为5m/s,根据a=
故本题答案为:2,相反.
点评:解决本题的关键掌握匀变速直线运动的推论,某段时间内的平均速度等于中间时刻的瞬时速度,以及掌握加速度的定义式a=
练习册系列答案
相关题目