题目内容
做匀加速运动的列车出站时,车头经过站台某点O时速度是1m/s,车尾经过O点时的速度是7m/s,则这列列车的中点经过O点时的速度为( )A.5m/s
B.5.5m/s
C.4m/s
D.3.5m/s
【答案】分析:以列车为参考系,0点做匀加速直线运动,O点通过车头的速度为1m/s,通过车尾的速度为7m/s,求通过列车中点的速度,即已知初末速度,求中间位置的瞬时速度,根据匀变速直线运动的速度位移公式
,求解.
解答:解:乙火车为参考系,设O点通过列车中点时的速度为v,
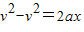
有
,
,
联立两式得
=
,
所以列车中点经过O点的速度为5m/s.故A正确,B、C、D错误.
故选A.
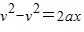
点评:解决本题的关键掌握匀变速直线运动的速度位移公式
,以及知道适当地选择参考系,问题会变得很直观.
解答:解:乙火车为参考系,设O点通过列车中点时的速度为v,
有
联立两式得
所以列车中点经过O点的速度为5m/s.故A正确,B、C、D错误.
故选A.
点评:解决本题的关键掌握匀变速直线运动的速度位移公式
练习册系列答案
相关题目
做匀加速运动的列车出站时,车头经过站台某点时速度是1 m/s,车尾经过该点时的速度是7 m/s,则这列列车的中点经过该点时的速度为 ( )
| A.5 m/s | B.5.5 m/s | C.4 m/s | D.3.5 m/s |