题目内容
汽车自O点出发从静止开始在平直公路上做匀加速直线运动,途中在6s钟内分别经过P、Q两根电杆,已知P、Q电杆相距60m,车经过电杆Q时的速率是15m/s,则下列说法中错误的是( )A.经过P杆时的速率是5m/s
B.车的加速度是1.5m/s2
C.O、P间距离是7.5m
D.车从出发到Q所用的时间是8s
【答案】分析:(1)根据匀变速直线运动的平均速度公式
代入数据求解P点的速度.
(2)因为已经求出了P点的速度,则可以根据加速度的定义可以求解加速度.
(3)根据速度和位移的关系公式求解OP之间的距离.
(4)根据速度公式求解OQ之间的运动时间.
解答:解:A、根据匀变速直线运动的平均速度公式

所以有
则vP=5m/s
故A正确.
B、根据加速度的定义
>1.5m/s2
故B错误.
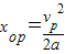
C、根据速度位移关系有
=
故C正确.
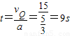
D、根据速度公式有vQ=at

故D错误.
故选BD.
点评:此题考查了匀变速直线运动的基本规律及基本公式,要记住公式并理解各个量的含义,难度不大,属于中档题.
(2)因为已经求出了P点的速度,则可以根据加速度的定义可以求解加速度.
(3)根据速度和位移的关系公式求解OP之间的距离.
(4)根据速度公式求解OQ之间的运动时间.
解答:解:A、根据匀变速直线运动的平均速度公式
所以有
则vP=5m/s
故A正确.
B、根据加速度的定义
故B错误.
C、根据速度位移关系有
故C正确.
D、根据速度公式有vQ=at
故D错误.
故选BD.
点评:此题考查了匀变速直线运动的基本规律及基本公式,要记住公式并理解各个量的含义,难度不大,属于中档题.
练习册系列答案
相关题目
汽车自O点出发从静止开始在平直公路上做匀加速直线运动,途中在6s 钟内分别经过P、Q两根电杆,以知P、Q电杆相距60m,车经过电杆Q时的速率是15m/s,则不正确的是( )
| A.经过P杆时的速率是5m/s | B.车的加速度是1.5 m/s2 |
| C.P、O间的距离是7.5m | D.车从出发到Q所用的时间是9s |