题目内容
已知某行星半径为R,以其第一宇宙速度运行的卫星的绕行周期为T,该行星上发射的同步卫星的运行速度为v.求(1)同步卫星距行星表面的高度为多少?
(2)该行星的自转周期为多少?
【答案】分析:(1)第一宇宙速度的轨道半径为R,根据
求出GM,再根据万有引力提供向心力
求出同步卫星的高度.
(2)行星自转周期等于同步卫星的运转周期,根据T=
求出自转周期.
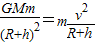
解答:解:(1)设同步卫星距地面高度为h,则:
①
以第一宇宙速度运行的卫星其轨道半径就是R,则
②
由①②得:
(2)行星自转周期等于同步卫星的运转周期

答:(1)同步卫星距行星表面的高度为
.
(2)该行星的自转周期为
.
点评:解决本题的关键知道第一宇宙速度是卫星贴着行星表面做圆周运动的速度,知道卫星绕行星做圆周运动靠万有引力提供向心力.
(2)行星自转周期等于同步卫星的运转周期,根据T=
解答:解:(1)设同步卫星距地面高度为h,则:
以第一宇宙速度运行的卫星其轨道半径就是R,则
由①②得:
(2)行星自转周期等于同步卫星的运转周期
答:(1)同步卫星距行星表面的高度为
(2)该行星的自转周期为
点评:解决本题的关键知道第一宇宙速度是卫星贴着行星表面做圆周运动的速度,知道卫星绕行星做圆周运动靠万有引力提供向心力.
练习册系列答案
相关题目