题目内容
用如图甲所示的实验装置验证机械能守恒定律.实验所用的电源为学生电源,输出电压为6V的交流电和直流电两种,重锤从高处由静止开始落下,重锤从拖着的纸带通过打点计时器打出一系列的点,对纸带上的点的痕迹进行测量,即可验证机械能定恒定律.(1)下面列举了该实验的几个操作步骤:
A.按照图示的装置安装器件;
B.将打点计时器接到电源的直流输出端上;
C.用天平测量出重锤的质量;
D.调整错误后,再接通电源开关,释放悬挂纸带的夹子,打出一条纸带;
E.测量打出的纸带上某些点之间的距离;
F.根据测量的结果计算重锤下落过程中减少的重力势能是否等于增加的动能.
指出其中没有必要进行的步骤是 ;操作错误的步骤是 .
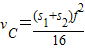
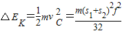
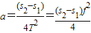
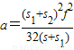
(2)如图(乙)所示,根据打出的纸带,选取纸带上打出的连续五个点A、B、C、D、E,测出A点距起始点O的距离为s,点A、C间的距离为s1,点C、E间的距离为s2,使用交流电的频率为f,已知重锤的质量为m,当地的重力加速度为g,则起始点O到打下C点的过程中,重锤重力势能的减少量为△EP= ,重锤动能的增加量为△EK= .利用这个装置也可以测量重锤下落的加速度a的数值,则根据这些条件和数据计算重锤下落的加速度a的表达式:a= .
【答案】分析:(1)解决实验问题首先要掌握该实验原理,了解实验的仪器、操作步骤和数据处理以及注意事项,只有这样才能明确每步操作的具体含义.
(2)根据重力做功和重力势能的关系可以求出重力势能的减小量;匀变速直线运动中中间时刻的瞬时速度等于该过程中的平均速度,由此求出C点的速度,进一步可以求出重锤动能的增加量;利用匀变速直线运动的推理△x=aT2可以求出重锤下落的加速度大小也可以利用机械能守恒定律的表达式求出加速度的大小.
解答:解:(1)B:将打点计时器接到电源的“交流输出”上,故B错误,操作不当.
C:因为我们是比较mgh、
的大小关系,故m可约去比较,不需要用天平,故C没有必要.
故答案为:C,B.
(2)重力势能的减小量等于重力做功大小,故有:
△EP=mg(s+s1)
由题意可知,各个点之间的时间间隔为
,匀变速直线运动中中间时刻的瞬时速度等于该过程中的平均速度,由此可以求出C点的速度大小为:

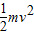
所以动能的增量为:

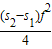
重锤下落时做匀加速运动,因此由逐差法得:

或者从O到C根据功能关系有:

解得:
故答案为:mg(s+s1),
,
或
.
点评:解答实验问题的关键是明确实验原理、实验目的,了解具体操作,同时加强应用物理规律处理实验问题的能力.
(2)根据重力做功和重力势能的关系可以求出重力势能的减小量;匀变速直线运动中中间时刻的瞬时速度等于该过程中的平均速度,由此求出C点的速度,进一步可以求出重锤动能的增加量;利用匀变速直线运动的推理△x=aT2可以求出重锤下落的加速度大小也可以利用机械能守恒定律的表达式求出加速度的大小.
解答:解:(1)B:将打点计时器接到电源的“交流输出”上,故B错误,操作不当.
C:因为我们是比较mgh、
故答案为:C,B.
(2)重力势能的减小量等于重力做功大小,故有:
△EP=mg(s+s1)
由题意可知,各个点之间的时间间隔为
所以动能的增量为:
重锤下落时做匀加速运动,因此由逐差法得:
或者从O到C根据功能关系有:
解得:
故答案为:mg(s+s1),
点评:解答实验问题的关键是明确实验原理、实验目的,了解具体操作,同时加强应用物理规律处理实验问题的能力.
练习册系列答案
相关题目