题目内容

火车由静止开始以加速度起动,由甲站出发随后再以加速度运动而停止于乙站。设甲、乙两站间的距离为,则:(1)由甲站到乙站共经历多少时间?(2)全程的平均速率为多少?(3)车速所能达到的最大速率是多少?

 

【答案】

(1)      (2)       (3)

【解析】

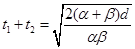
试题分析:设运动最大速度为vm,加速运动时间为t1,减速运动的时间为t2,根据

可得:

  ①   (2分)

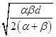
再根据位移公式:  ②     (2分)

由①、②得

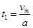
(1)经历时间    (1分)

(2)平均速率 (2分)

(3)最大速率    (1分)

考点:本题考查匀变速直线运动的规律意在考查学生的综合分析能力。

 

练习册系列答案
相关题目

违法和不良信息举报电话:027-86699610 举报邮箱:58377363@163.com

精英家教网