ÌâÄ¿ÄÚÈÝ

ÈçͼËùʾ£¬¿íx=2cmµÄÓнçÔÈÇ¿´Å³¡µÄ×ÝÏò·¶Î§×ã¹»´ó£¬´Å¸ÐӦǿ¶ÈµÄ·½Ïò´¹Ö±Ö½ÃæÏòÄÚ£¬´óСΪ0.01T¡£ÏÖÓÐһȺ±ÈºÉq/m=4¡Á107C/kgµÄÕýÁ£×Ó£¬´ÓOµãÒÔÏàͬµÄËÙÂÊ2¡Á104m/sÑØÖ½Ãæ²»Í¬·½Ïò½øÈë´Å³¡£¬Á£×ÓÖØÁ¿ºöÂÔ²»¼Æ£¨£©¡£Çó£º

£¨1£©Á£×ÓÔڴų¡ÖÐ×öÔ²ÖÜÔ˶¯µÄ°ë¾¶£»

£¨2£©ËùÓдòÔÚyÖáÉϵÄÁ£×ÓÔڴų¡ÖÐÔ˶¯µÄ×ʱ¼ä£»

£¨3£©´òÔÚ·Ö½çÏßx=2cmÉÏÁ£×ӵķֲ¼·¶Î§.

 

¡¾´ð°¸¡¿

£¨1£©0.05m    £¨2£©4.62¡Á10-6s    £¨3£©xÖáÏ·½0.04mµ½xÖáÉÏ·½0.04mÖ®¼ä¾ùÓÐÁ£×Ó

¡¾½âÎö¡¿

ÊÔÌâ·ÖÎö£º£¨1£©¸ù¾ÝÁ£×ÓÔڴų¡ÖÐÔ˶¯ÊÇÂåÂ××ÈÁ¦ÌṩÏòÐÄÁ¦¿ÉµÃ£º£¬ÇóµÃr=0.05m£»

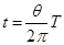
£¨2£©Á£×Ó×öÔ²ÖÜÔ˶¯µÄÖÜÆÚ£¬ÉèÁ£×ÓÔ˶¯¹ì¼£µÄÔ²ÐĽÇΪ¦È£¬ÔòÁ£×ÓÔڴų¡ÖÐÔ˶¯µÄʱ¼ä£¬ÓÉÌâÒâÖª£¬µ±Á£×ӵĹ켣Óë´Å³¡Óұ߽çÏàÇÐʱ£¬Á£×Ó´òÔÚyÖáÉÏ£¬¹ì¼£µÄÔ²ÐĽÇ×î´ó£¬Ô˶¯µÄʱ¼ä×£¬ÈçͼËùʾ£¬¸ù¾Ý¼¸ºÎ¹ØÏµ¿ÉÇóÔ²ÐĽÇΪ106o£¬´úÈë¿ÉÇóÔ˶¯Ê±¼ät=4.62¡Á10-6s£»

£¨3£©ÓÉÌâÒâÖª£¬µ±Á£×ÓµÄËÙ¶ÈÑØyÖḺ·½ÏòʱÁ£×Ó´ÓpµãÀ뿪´Å³¡£¬ÇÒpµãΪÁ£×Ó´òÔÚ·Ö½çÏßx=2cmÉϵÄ×îµÍµã£¬ÈçͼËùʾ£¬Óɼ¸ºÎ¹ØÏµ¿ÉÇópµãµ½xÖáµÄ¾àÀëΪ0.04m£»µ±Á£×ӹ켣Óë·Ö½çÏßx=2cmÏàÇÐʱ£¬ÇеãQΪÁ£×ÓÔÚ·Ö½çÏßx=2cmÉϵÄ×î¸ßµã£¬ÈçͼËùʾ¸ù¾Ý¼¸ºÎ¹ØÏµ¿ÉÇóQµ½xÖáµÄ¾àÀëΪ0.04m£¬ËùÒÔ´òÔÚ·Ö½çÏßx=2cmÉÏÁ£×ӵķֲ¼ÔÚxÖáÏ·½0.04mµ½xÖáÉÏ·½0.04mµÄ·¶Î§ÄÚ¡£

¿¼µã£º±¾Ì⿼²é´øµçÁ£×ÓÔڴų¡ÖеÄÔ²ÖÜÔ˶¯£¬ÒâÔÚ¿¼²éѧÉúµÄ·ÖÎöÄÜÁ¦¡£

 

Á·Ï°²áϵÁдð°¸
Ïà¹ØÌâÄ¿

Î¥·¨ºÍ²»Á¼ÐÅÏ¢¾Ù±¨µç»°£º027-86699610 ¾Ù±¨ÓÊÏ䣺58377363@163.com

¾«Ó¢¼Ò½ÌÍø