ÌâÄ¿ÄÚÈÝ
ÈçͼÊÇ¡°²â¶¨ÔȱäËÙÖ±ÏßÔ˶¯¼ÓËÙ¶È¡±ÊµÑéÖеõ½µÄÒ»ÌõÖ½´ø£¬´ÓOµã¿ªÊ¼Ã¿5¸öµãȡһ¸ö¼ÆÊýµã£¨´òµã¼ÆÊ±Æ÷µÄµçԴƵÂÊÊÇ50Hz£©£¬ÒÀÕÕ´òµãµÄÏȺóÒÀ´Î±àΪ1¡¢2¡¢3¡¢4¡¢5¡¢6£¬Á¿µÃs1=1.22cm£¬s2=2.00cm£¬s3=2.78cm£¬s4=3.62cm£¬s5=4.40cm£¬s6=5.18
cm£®
£¨1£©ÏàÁÚÁ½¼ÆÊýµã¼äµÄʱ¼ä¼ä¸ôΪT= s
£¨2£©¼ÆËãС³µµÄ¼ÓËٶȱí´ïʽΪa= £¬¼ÓËÙ¶È´óСΪa= m/s2£®
£¨3£©´òµã¼ÆÊ±Æ÷´ò¼ÆÊýµã3ʱ£¬Ð¡³µµÄËÙ¶È´óСÊÇv= m/s£®
£¨4£©ÔÚʵÑéÖвÙ×÷ÓÐÈçϲ½Ö裬ÊÔ°´ºÏÀíµÄ˳Ðò°Ñ²½ÖèÐòºÅÌîÔÚÏÂÃæµÄÏßÉÏ£º £®
A£®°Ñ´©¹ý´òµã¼ÆÊ±Æ÷µÄÖ½´ø¹Ì¶¨ÔÚС³µºóÃæ£»
B£®°Ñ´òµã¼ÆÊ±Æ÷¹Ì¶¨ÔÚľ°åûÓл¬ÂÖµÄÒ»¶Ë£¬²¢ÓëµçÔ´ÏàÁ¬½Ó£»
C£®»»ÉÏÐÂÖ½´ø£¬ÖØ×÷Á½´ÎʵÑ飻
D£®°Ñ³¤Ä¾°åƽ·ÅÔÚʵÑé×ÀÉÏ£¬²¢Ê¹»¬ÂÖÉì³ö×À±ß£»
E£®ÏÈÈÃС³µÍ£ÔÚ¿¿½ü´òµã¼ÆÊ±Æ÷´¦£¬½ÓͨµçÔ´£¬·Å¿ªÐ¡³µ£»
F£®°ÑÒ»Ìõ¿ç¹ý»¬ÂÖµÄϸÉþÒ»¶ËË©ÔÚС³µÉÏ£¬ÁíÒ»¶ËµõÒ»¹³Â룻
G£®¶Ï¿ªµçÔ´£¬È¡ÏÂÖ½´ø£»
H£®Çó³öÈý´Î²âÁ¿¼ÓËÙ¶ÈµÄÆ½¾ùÖµ£¬×÷Ϊ²âÁ¿µÄ×îºó½á¹û£®
¡¾´ð°¸¡¿·ÖÎö£º£¨1£©¸ù¾Ý´òµã¼ÆÊ±Æ÷µÄ´òµãÖÜÆÚºÍ´òµã¼ä¸ô¿ÉµÃ³öÕýÈ·½á¹û£»
£¨2£©¸ù¾ÝÖð²î·¨¿ÉÒԵóöÕýÈ·½áÂÛ£»
£¨3£©Ö½´øÊµÑéÖУ¬ÈôÖ½´øÔȱäËÙÖ±ÏßÔ˶¯£¬²âµÃÖ½´øÉϵĵã¼ä¾à£¬ÀûÓÃÔȱäËÙÖ±ÏßÔ˶¯µÄÍÆÂÛ£¬¿É¼ÆËã³ö´ò³öijµãʱֽ´øÔ˶¯µÄ˲ʱËٶȺͼÓËÙ¶È£®
£¨4£©°²ÅÅʵÑé²½ÖèÒª±¾×ÅÏȰ²×°Æ÷²Ä£¬È»ºó½øÐÐʵÑéµÄ˼·½øÐУ¬Ò»°ãÿÍê³ÉÒ»´ÎʵÑ飬¶¼Òª½øÐÐÖØ¸´ÊµÑ飮
½â´ð£º½â£º£¨1£©´òµã¼ÆÊ±Æ÷µÄ´òµãÖÜÆÚT=0.02s£¬ËùÒÔʱ¼ä¼ä¸ôΪ£ºT=5T=0.1s£®
¹Ê´ð°¸Îª£º0.1£®
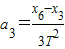
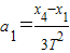
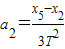
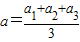
£¨2£©¸ù¾ÝÖð²î·¨ÓУº
£¬
£¬
=
´øÈËÊý¾Ý½âµÃ£º
£¬a=0.8m/s2£®
¹Ê´ð°¸Îª£º0.8£®
£¨3£©¸ù¾ÝÔȱäËÙÖ±ÏßÔ˶¯ÖÐʱ¼äÖеãµÄ˲ʱËٶȵÈÓڸùý³ÌÖÐµÄÆ½¾ùËٶȿɵãº

¹Ê´ð°¸Îª£º0.32£®
£¨4£©°²ÅÅʵÑé²½ÖèÒª±¾×ÅÏȰ²×°Æ÷²Ä£¬È»ºó½øÐÐʵÑéµÄ˼·½øÐУ¬Ò»°ãÿÍê³ÉÒ»´ÎʵÑ飬¶¼Òª½øÐÐÖØ¸´ÊµÑ飬ʵÑé²½ÖèÒª·ûºÏÂß¼£¬²»ÄܵßÈýµ¹Ëĵģ®
¹Ê˳ÐòΪ£ºDBFAECG£®
µãÆÀ£º±¾Ìâ±È½Ï¼òµ¥£¬¿¼²éÁËÓйØÖ½´ø´¦ÀíµÄ»ù±¾ÖªÊ¶£¬Æ½Ê±Òª¼ÓÇ¿»ù´¡ÊµÑéµÄʵ¼Ê²Ù×÷£¬Ìá¸ß²Ù×÷¼¼ÄܺÍÊý¾Ý´¦ÀíÄÜÁ¦£®
£¨2£©¸ù¾ÝÖð²î·¨¿ÉÒԵóöÕýÈ·½áÂÛ£»
£¨3£©Ö½´øÊµÑéÖУ¬ÈôÖ½´øÔȱäËÙÖ±ÏßÔ˶¯£¬²âµÃÖ½´øÉϵĵã¼ä¾à£¬ÀûÓÃÔȱäËÙÖ±ÏßÔ˶¯µÄÍÆÂÛ£¬¿É¼ÆËã³ö´ò³öijµãʱֽ´øÔ˶¯µÄ˲ʱËٶȺͼÓËÙ¶È£®
£¨4£©°²ÅÅʵÑé²½ÖèÒª±¾×ÅÏȰ²×°Æ÷²Ä£¬È»ºó½øÐÐʵÑéµÄ˼·½øÐУ¬Ò»°ãÿÍê³ÉÒ»´ÎʵÑ飬¶¼Òª½øÐÐÖØ¸´ÊµÑ飮
½â´ð£º½â£º£¨1£©´òµã¼ÆÊ±Æ÷µÄ´òµãÖÜÆÚT=0.02s£¬ËùÒÔʱ¼ä¼ä¸ôΪ£ºT=5T=0.1s£®
¹Ê´ð°¸Îª£º0.1£®
£¨2£©¸ù¾ÝÖð²î·¨ÓУº
´øÈËÊý¾Ý½âµÃ£º
¹Ê´ð°¸Îª£º0.8£®
£¨3£©¸ù¾ÝÔȱäËÙÖ±ÏßÔ˶¯ÖÐʱ¼äÖеãµÄ˲ʱËٶȵÈÓڸùý³ÌÖÐµÄÆ½¾ùËٶȿɵãº
¹Ê´ð°¸Îª£º0.32£®
£¨4£©°²ÅÅʵÑé²½ÖèÒª±¾×ÅÏȰ²×°Æ÷²Ä£¬È»ºó½øÐÐʵÑéµÄ˼·½øÐУ¬Ò»°ãÿÍê³ÉÒ»´ÎʵÑ飬¶¼Òª½øÐÐÖØ¸´ÊµÑ飬ʵÑé²½ÖèÒª·ûºÏÂß¼£¬²»ÄܵßÈýµ¹Ëĵģ®
¹Ê˳ÐòΪ£ºDBFAECG£®
µãÆÀ£º±¾Ìâ±È½Ï¼òµ¥£¬¿¼²éÁËÓйØÖ½´ø´¦ÀíµÄ»ù±¾ÖªÊ¶£¬Æ½Ê±Òª¼ÓÇ¿»ù´¡ÊµÑéµÄʵ¼Ê²Ù×÷£¬Ìá¸ß²Ù×÷¼¼ÄܺÍÊý¾Ý´¦ÀíÄÜÁ¦£®
Á·Ï°²áϵÁдð°¸
Ïà¹ØÌâÄ¿