题目内容
一物体做加速直线运动,依次通过A、B、C三点,AB=BC.物体在AB段加速度为a1,在BC段加速度为a2,且物体在B点的速度与A、C两点速度的关系为vB=A.a1>a2
B.a1=a2
C.a1<a2
D.不能确定
【答案】分析:分别对AB、BC两段运动用位移-速度公式列出方程,结合vB=
即可求解.
解答:解:设AB=BC=x,
对AB段有:2a1x=
解得:a1=
对BC段有:2a2x=
解得:a1=
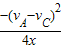
所以a1-a2=
-
又因为vB=
所以a1-a2=
因为物体做加速直线运动,所以vC>vA
故a1-a2<0
即a1<a2
故选C.
点评:该题主要考查了匀加速运动速度-位移公式的直接应用,计算时对同学们的数学功底要求较高,难度适中.
解答:解:设AB=BC=x,
对AB段有:2a1x=
解得:a1=
对BC段有:2a2x=
解得:a1=
所以a1-a2=
又因为vB=
所以a1-a2=
因为物体做加速直线运动,所以vC>vA
故a1-a2<0
即a1<a2
故选C.
点评:该题主要考查了匀加速运动速度-位移公式的直接应用,计算时对同学们的数学功底要求较高,难度适中.
练习册系列答案
相关题目