题目内容

一个人造地球卫星绕地球做匀速圆周运动,假如该卫星变轨后做匀速圆周运动,动能减小为原来的1/4,不考虑卫星质量的变化,变轨前后卫星的

A.周期之比为1:8              B.角速度大小之比为2:1

C.向心加速度大小之比为4:1    D.轨道半径之比为1:2

 

【答案】

A

【解析】

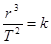
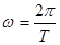
试题分析:由于卫星变轨后动能减小为原来的1/4,则速度减为原来的一半;根据,则轨道半径变为原来的4倍,选项D错误;根据,则周期T变为原来的8倍,选项A正确;根据,角速度变为原来的1/8,选项B错误;由得 向心加速度变为原来的1/16,选项C错误。

考点:万有引力定律及匀速圆周运动的规律。

 

练习册系列答案
相关题目

违法和不良信息举报电话:027-86699610 举报邮箱:58377363@163.com

精英家教网